「ふく射」による熱の伝わり:CAE解析とExcelを使いながら冷却系設計を自分でやってみる(7)(9/9 ページ)
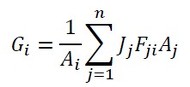
では、式34をゴリコリ計算していきましょう。その前に射度Jを求めます。式29でした。iを1にjを2に表記を変えます。
式60
式61
式30を変形します。
式62
今、2面しかなく、n=1として、iを1にjを2に表記を変えます。
式63
式64
式60と式61に、式63と式64を代入します。
式65
式66
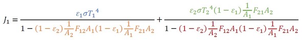
J1だけを計算していきましょう。式65に式66を代入します。
式67
右辺にもJ1があり、マトリョーシカのような式になりそうです。どんどん代入しましょう。
式68[クリックで拡大]
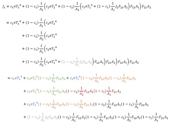
マトリョーシカ構造なので等比級数です。J1は次式となります(式69)。
式69[クリックで拡大]
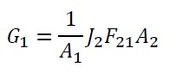
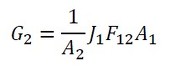
J2は、1と2を入れ替えてできます(式70)。
式70[クリックで拡大]
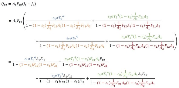
式34に代入します。つまり、i面からj面への熱の移動量を求めます(式71)。
式71[クリックで拡大]
A1F12=A2F21を代入します。
式72[クリックで拡大]
ここでの目的は「式34が本当に熱の移動量なのか?」を確かめることでした。愚直に計算した熱の移動量である式59と、式34を展開した式72は一致しています。つまり、確かに式34は熱の移動量のようです。
ふく射の話題は今回だけとなります。次回は、温度分布の時間変化を計算します。シミュレーションでいうと過渡伝熱解析や熱伝導時刻歴応答解析となります。フーリエ級数を思い出しておいてください。それにしても、今回は少し疲れました……。 (次回へ続く)
⇒「連載バックナンバー」はこちら
高橋 良一(たかはし りょういち)
RTデザインラボ 代表
1961年生まれ。技術士(機械部門)、計算力学技術者 上級アナリスト、米MIT Francis Bitter Magnet Laboratory 元研究員。
構造・熱流体系のCAE専門家と機械設計者の両面を持つエンジニア。約40年間、大手電機メーカーにて医用画像診断装置(MRI装置)の電磁振動・騒音の解析、測定、低減設計、二次電池製造ラインの静音化、液晶パネル製造装置の設計、CTスキャナー用X線発生管の設計、超音波溶接機の振動解析と疲労寿命予測、超電導磁石の電磁振動に対する疲労強度評価、メカトロニクス機器の数値シミュレーションの実用化などに従事。現在RTデザインラボにて、受託CAE解析、設計者解析の導入コンサルティングを手掛けている。⇒ RTデザインラボ
ストップ! 外注丸投げ――CAE解析や冷却系の設計を自分でやれるようになろう
CAE解析とExcelを使いながら冷却系の設計を“自分でやってみる/できるようになる”ことを目指す連載。連載第1回では、冷却系設計に関する題材をいくつか紹介し、本連載で取り上げるトピックスについて整理する。
CAEソフトに仕掛けられたトラップ
金属疲労を起こした際にかかる対策コストは膨大なものになる。連載「CAEを正しく使い疲労強度計算と有機的につなげる」では、CAEを正しく使いこなし、その解析結果から疲労破壊の有無を予測するアプローチを解説する。第1回のテーマは「CAEソフトに仕掛けられたトラップ」だ。
連載「CAEを正しく使い疲労強度計算と有機的につなげる」の内容と有限要素法
金属疲労を起こした際にかかる対策コストは膨大なものになる。連載「CAEを正しく使い疲労強度計算と有機的につなげる」では、CAEを正しく使いこなし、その解析結果から疲労破壊の有無を予測するアプローチを解説する。連載第2回では本連載の「あらすじ」と「有限要素法」について取り上げる。
解析専任者に連絡する前に、設計者がやるべきこと
連載「CAEと計測技術を使った振動・騒音対策」では、“解析専任者に連絡する前に、設計者がやるべきこと”を主眼に、CAEと計測技術を用いた機械の振動対策と騒音対策の考え方や、その手順について詳しく解説する。連載第1回では、本連載の趣旨、振動対策や騒音対策が必要となる場面などについて取り上げる。
設計者なら一度はやってみたい形状最適化、お金をかけずにどこまでできる?
原理原則を押さえていれば、高額なソフトウェアを用意せずとも「パラメトリック最適化」「トポロジー最適化」「領域最適化」といった“形状最適化”手法を試すことができる! 本連載ではフリーのFEM(有限要素法)ソフトウェア「LISA」と「Excel」のマクロプログラムを用いた形状最適化にチャレンジする。
その設計、そのボルトと本数で大丈夫?
部品の固定(締結)のために使用する“ボルトの設計”をテーマに、設計者向けCAE環境を用いて、必要とされる適切なボルトの呼び径と本数を決める方法を解説する。また、連載の中で、ボルト締結の基礎である締め付けトルクと軸力の関係や、締め付けトルクの決定方法などについても取り上げる。
Copyright © ITmedia, Inc. All Rights Reserved.