「ふく射」による熱の伝わりCAE解析とExcelを使いながら冷却系設計を自分でやってみる(7)(2/9 ページ)

» 2025年05月12日 11時00分 公開

練習問題をやってみよう

 ふく射に対する理解を深めるために、練習問題に挑戦してみましょう。日本機械学会が主催している「計算力学技術者1級」の試験問題です。図3に示すように、とても近接した非常に広い壁があり、温度と放射率が与えられています。左側の壁の温度が高いときに、左側の壁1から右側の壁2に伝わる熱流束を求めましょう。もちろん真空中での問題です。

2つの壁の間の熱の移動 図3 2つの壁の間の熱の移動[クリックで拡大]

 壁1の単位面積当たりの熱放射量E1は、式2から次式で表されます(式6)。

式6 式6

 上記E1の全てが壁2に到着するとします。図4に示すように、E1は壁2が吸収する熱量(単位面積当たりです)と、反射する熱量に分かれます。

2つの壁の間の熱の移動 図4 2つの壁の間の熱の移動[クリックで拡大]

 それぞれ以下となります。

式7 式7

 壁2で反射する熱量の全てが壁1に到着する場合、それは壁1が吸収する熱量と、反射する熱量に分かれます。それぞれ以下となります。

式8 式8

 壁1で反射する熱量の全てが壁2に到着するとします。図4に示すように、それは壁2が吸収する熱量と、反射する熱量に分かれます。それぞれ以下となります。

式9 式9

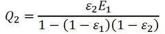
 現時点での壁2が受け取る熱量は式7式9の和ですが、図4から、壁2が受け取る熱量Q2式10となります。

式10 式10

 式10は、初項ε2E1、項比(1−ε1)(1−ε2)E1の等比級数の和なので、総和は次式となります(式11)。

式11 式11

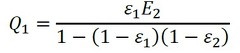
 同じ考え方で、壁1が吸収する熱量は式12となります。

式12 式12

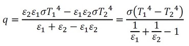
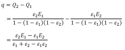
 壁1から壁2に伝わる熱流束(単位面積当たりの熱量)は以下となります。

式13 式13

 E1、E2は次式でした(式14)。

式14 式14

 上式を式13に代入します(式15)。

式15 式15

 こんな感じでしょうか。

Copyright © ITmedia, Inc. All Rights Reserved.

特別協賛PR
スポンサーからのお知らせPR
Pickup ContentsPR
Special SitePR
あなたにおすすめの記事PR