「ふく射」による熱の伝わりCAE解析とExcelを使いながら冷却系設計を自分でやってみる(7)(3/9 ページ)

» 2025年05月12日 11時00分 公開

2つの黒体面間の熱のやりとり

 先に「立体角」について説明します。図5左図において角度θをラジアンで表すと式16となります。半径に角度を掛けると弧長Lが求まります。

ラジアンで表した角度と立体角 図5 ラジアンで表した角度と立体角[クリックで拡大]
式16 式16

 図5右図において、立体角Ωは次式で定義されます(式17)。Sは面積です。

式17 式17

 ここから小さな面が見えているとします。小さな面の立体角との距離が分かれば小さな面の見掛けの面積が求まります。

 図6に2つの黒体面間の熱のやりとりを示します。微小な面ΔA1とΔA2とを結ぶ線を引きます。この線とΔA1の法線とのなす角をφ1、そしてこの線とΔA2の法線とのなす角をφ2とします。

2つの黒体面間の熱のやりとり 図6 2つの黒体面間の熱のやりとり[クリックで拡大]

 今、放射強度Iという量を使います。面が表側の周囲に放射する単位面積、単位立体角当たりのエネルギーです。単位は[W/m2.sr]です。ΔA1からΔA2に単位時間当たりに放射されるエネルギーは式18で表されます。

式18 式18

 ΔA1からΔA2に放射されるエネルギーは、I1ΔA1ΔΩ1でよいかと思われますが、cosφ1が付くのが「ランバートの余弦法則(Lambert cosine law)」です(参考文献[1])。このcosは放つ側のcosです。

 立体角の定義からΔΩ1式19で表されます。このcosはΔA2が傾いているためです。sは2つの面間の距離です。

式19 式19

 式19式18に代入します(式20)。

式20 式20

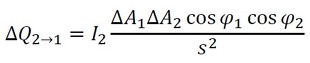
 ΔA2からΔA1に単位時間当たりに放射されるエネルギーは、式21で表されます。

式21 式21

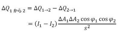
 ΔA1からΔA2に単位時間当たりに伝わるエネルギーは、次式となります(式22)。

式22 式22

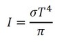
 放射強度と温度は次式の関係があります(式23)。

式23 式23

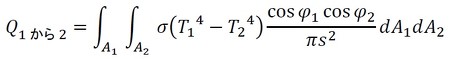
 式22式23に代入し、積分すれば、A1面からA2面に単位時間当たりに伝わるエネルギーとなります(式24)。

式24 式24

 T1、T2が一定温度の場合、式24のσ(T14−T24)を積分の前に出せます(式25)。

式25 式25

 式25の積分は、A1面とA2面の位置関係だけで決まります。今、形態係数F12を導入すると、式25の積分は次式のように表すことができます(式26)。

式26 式26

 形態係数F21を導入しましょう。対称性から式27が成立します。

式27 式27

 A1面からA2面に単位時間当たりに伝わるエネルギーは次式となります(式28)。

式28 式28

Copyright © ITmedia, Inc. All Rights Reserved.

特別協賛PR
スポンサーからのお知らせPR
Pickup ContentsPR
Special SitePR
あなたにおすすめの記事PR