「ふく射」による熱の伝わりCAE解析とExcelを使いながら冷却系設計を自分でやってみる(7)(5/9 ページ)

» 2025年05月12日 11時00分 公開

真空蒸着装置の熱計算

 前述した計算法を真空蒸着装置に適用します。ただし、ここでは問題を簡単にすることとします。簡素化したモデルを図10に示します。

簡素化したモデル 図10 簡素化したモデル[クリックで拡大]

 i面を1面、j面を2面と表記します。1面について、式36は次式となります(式37)。

式37 式37

 2面については、1と2を入れ替えて次式となります(式38)。

式38 式38

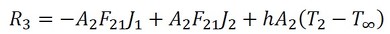
 T1とT2が決められていて、1面と2面との間の熱のやりとりを求める場合には、式37式38の連立方程式を解き、J1、J2を求めて、式35から熱の移動量を導き出します。しかし今回の場合、T1は加熱したい温度であり既知ですが、T2は部屋の空気の温度Tとチャンバー外側表面の熱伝達率hで決まるため未知数となります。つまり、未知数はJ1、J2、T2の3つになります。もう1つ式を作ります。図10のQ2は、熱伝達で部屋の空気に移動すると考えて次式で表せます(式39)。

式39 式39

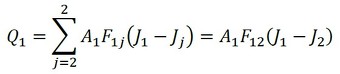
 式35から、Q1は次式となります(式40)。

式40 式40

 1と2を入れ替えて、Q2は次式となります(式41)。

式41 式41

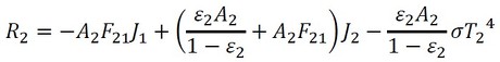
 ここでは、式39式41が等しいとしましょう。

式42 式42

 これで、式37式38式42の連立方程式ができました。ですが、かなり困りものです……。ふく射の問題は、温度の4乗の項が出てきて4次方程式となります。4次方程式の解を陽の形で表すことができるとのことですが、この方法は止めておきましょう。

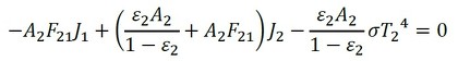
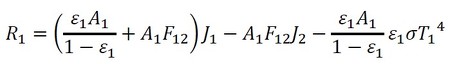
 あらためて、以下に示す3つの式を作ります(式43〜45)。

式43 式43
式44 式44
式45 式45

 そして、式46が最小になるように未知数を「Excel」のソルバー機能で求めます。

式46 式46

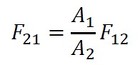
 形態係数は1面(お皿)が放射する熱の全量が2面(チャンバー)に届くと考えて、次式とします(式47)。

式47 式47

 式27を使うと、F21は以下となります。

式48 式48

 しかし、少し変ですね……。図10を見てみると、2面からの放射のほとんどは2面に届きますが、今回のモデルはこの点を考慮していません。よって、近似計算となります。面の数を増やすと厳密な計算となります。

Copyright © ITmedia, Inc. All Rights Reserved.

特別協賛PR
スポンサーからのお知らせPR
Pickup ContentsPR
Special SitePR
あなたにおすすめの記事PR