「ふく射」による熱の伝わりCAE解析とExcelを使いながら冷却系設計を自分でやってみる(7)(8/9 ページ)

» 2025年05月12日 11時00分 公開

式34の考察

 もう少しだけお付き合いください。天下り的に示した式34を確かめてみましょう。図20に示すような2つの壁を考えます。

2つの壁の熱のやりとり:もともと壁1にあった熱 図20 2つの壁の熱のやりとり:もともと壁1にあった熱[クリックで拡大]

 もともと壁1にあった熱の放射と反射を考えます。

 壁1が全空間に放射する熱量は以下の式です。

Q1=ε1σT14A1

 そのうち、壁2に到達する熱量は以下の式です。

Q1→2 1st=Q1F12=ε1σT14A1F12

 上記の熱が壁2で全空間に反射する熱量は以下の式です。

(1−ε2)ε1σT14A1F12

 上記の熱が壁1に到達する熱量は以下の式です。

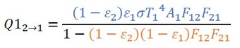
Q2→1 1st=(1−ε2)ε1σT14A1F12F21

 上記の熱が壁1で全空間に反射する熱量は以下の式です。

(1−ε1)(1−ε2)ε1σT14A1F12F21

 上記の熱が壁2に到達する熱量は以下の式です。

Q1→2 2nd=(1−ε1)(1−ε2)ε1σT14A1F12F21F12

 上記の熱が壁2で全空間に反射する熱量は以下の式です。

(1−ε2)(1−ε1)(1−ε2)ε1σT14A1F12F21F12

 上記の熱が壁1に到達する熱量は以下の式です。

Q2→1 2nd=(1−ε2)(1−ε1)(1−ε2)ε1σT14A1F12F21F12F21

 上記の熱が壁1で全空間に反射する熱量は以下の式です。

(1−ε1)(1−ε2)(1−ε1)(1−ε2)ε1σT14A1F12F21F12F21

 上記の熱が壁2に到達する熱量は以下の式です。

Q2→1 3rd=(1−ε1)(1−ε2)(1−ε1)(1−ε2)ε1σT14A1F12F21F12F21F12

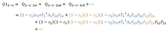
 もともと壁1にあった熱が壁2に到達する熱量の総和は次式となります(式53)。

式53 式53

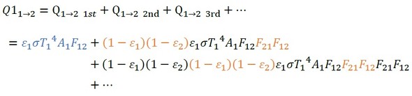
 初項がε1σT14A1F12、項比が(1−ε1)(1−ε2)F21F12の等比級数です。式54となります。

式54 式54

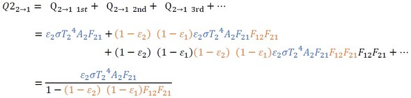
 もともと壁1にあった熱なのですが、壁2での反射によって壁1に到達する熱量は次式となります(式55)。

式55 式55[クリックで拡大]

 これも等比級数なので次式となります。

式56 式56

 次は、もともと壁2にあった熱の放射と反射を考えます。図21を使います。

2つの壁の熱のやりとり:もともと壁2にあった熱 図21 2つの壁の熱のやりとり:もともと壁2にあった熱[クリックで拡大]

 壁2が全空間に放射する熱量は以下の式です。

Q2=ε2σT24A2

 そのうち、壁1に到達する熱量は以下の式です。

Q2→1 1st=Q2F21=ε2σT24A2F21

 上記の熱が壁1で全空間に反射する熱量は以下の式です。

(1−ε1)ε2σT24A2F21

 上記の熱が壁2に到達する熱量は以下の式です。

Q1→2 1st=(1−ε1)ε2σT24A2F21F12

 上記の熱が壁2で全空間に反射する熱量は以下の式です。

(1−ε2)(1−ε1)ε2σT24A2F21F12

 上記の熱が壁1に到達する熱量は以下の式です。

Q2→1 2nd=(1−ε2)(1−ε1)ε2σT24A2F21F12F21

 上記の熱が壁1で全空間に反射する熱量は以下の式です。

(1−ε1)(1−ε2)(1−ε1)ε2σT24A2F21F12F21

 上記の熱が壁2に到達する熱量は以下の式です。

Q1→2 2nd=(1−ε1)(1−ε2)(1−ε1)ε2σT24A2F21F12F21F12

 上記の熱が壁2で全空間に反射する熱量は以下の式です。

(1−ε2)(1−ε1)(1−ε2)(1−ε1)ε2σT24A2F21F12F21F12

 上記の熱が壁1に到達する熱量は以下の式です。

Q2→1 3rd=(1−ε2)(1−ε1)(1−ε2)(1−ε1)ε2σT24A2F21F12F21F12F21

 もともと壁2にあった熱が壁1に到達する熱量の総和は次式となります(式57)。

式57 式57[クリックで拡大]

 もともと壁2にあった熱が壁1での反射によって壁2に到達する熱量は次式となります(式58)。

式58 式58[クリックで拡大]

 壁1から壁2への熱の移動量は、壁1から壁2に到達する熱量から壁2から壁1に到達する熱量を差し引いたものなので次式となります(式59)。

式59 式59

Copyright © ITmedia, Inc. All Rights Reserved.

特別協賛PR
スポンサーからのお知らせPR
Pickup ContentsPR
Special SitePR
あなたにおすすめの記事PR