「ふく射」による熱の伝わりCAE解析とExcelを使いながら冷却系設計を自分でやってみる(7)(6/9 ページ)

» 2025年05月12日 11時00分 公開

真空蒸着装置の設計

 お待たせしました。Excelシートを作りましょう。表1表2に示します。黄色のセルには温度条件を入力します。白いセルには設計条件を入力します。青色のセルと緑色のセルには計算式が入っています。

蒸着装置Excelシート 表1 蒸着装置Excelシート[クリックで拡大]
蒸着装置Excelシート:計算式 表2 蒸着装置Excelシート:計算式[クリックで拡大]

 例えば、お皿の温度を2000[degC]に設定したいとします。お皿の表面積は0.00125[m2]とかなり小さめです。また、お皿とチャンバーの反射率は0.8[-]、放射率は0.2[-]とします。チャンバーの内側の面積は1.5[m2]と、これもあまり大きくないため卓上型となります。チャンバーは部屋の中に置かれているとし、チャンバーの外側表面と部屋の空気との熱伝達率は自然対流熱伝達として10[W/m2.K]としました。

 D26セルが最小となるような、未知数であるD29、D30、D31セルの値をExcelのソルバー機能を使って求めます。

 表1の使い方を図11図12に示します。図11はソルバー機能の起動です。Excelはそのままではソルバー機能は起動しません。アドインの設定が必要です。アドインの設定方法は次の通りです。まず、Excelの[ファイル]メニューをクリックし、一番下の[オプション]を選択すると図13のような画面が表示されます。ここで(1)[アドイン]を選択し、(2)[設定(G)]をクリックして、[ソルバーアドイン]のチェックを入れ、最後に[OK]ボタンを押します。

計算の仕方:ソルバーの起動 図11 計算の仕方:ソルバーの起動[クリックで拡大]
計算の仕方。(1)目的セルを「$D$26」とする。(2)変数セルの変更の部分を「$D$29:$D$31」とする。(3)[解決]ボタンを押す 図12 計算の仕方。(1)目的セルを「$D$26」とする。(2)変数セルの変更の部分を「$D$29:$D$31」とする。(3)[解決]ボタンを押す[クリックで拡大]
アドインの設定方法 図13 アドインの設定方法[クリックで拡大]

 表1の計算結果を見てみましょう。Q1のヒーター出力は374[W]、チャンバー温度は45[degC]となりました。卓上型蒸着装置ですね。今回はチャンバー温度が自然対流熱伝達で冷やされるとしました。空冷です。つまり、ヒーターの熱は部屋のエアコンを通して排出されることになるため、電気代がかかります。実験で1つ、2つ試料を作る分にはこれでもよいのですが、毎日たくさんの蒸着作業をする場合は水冷チャンバーが必要です。

 ExcelのD列をE列にコピーし、お皿とチャンバーの反射率を0.5[-]に変更すると、ヒーター出力は934[W]、チャンバー温度は82[degC]となります。チャンバー温度が高過ぎるので水冷チャンバーが必須となります。図14に反射率とヒーター出力、チャンバー温度の関係を示します。空冷チャンバーにするためには反射率を大きくしなければならないことが分かります。「リフレクター」という反射率の高い金属をチャンバーの中に入れます。

反射率とヒーター出力、チャンバー温度の関係 図14 反射率とヒーター出力、チャンバー温度の関係[クリックで拡大]

 パラメーターをいろいろと変えてみると、お皿の表面積の変更がチャンバー温度とヒーター容量に大きく影響することが分かります。

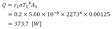
 今回の計算を別の方法でやってみましょう。ヒーターの熱の全量がチャンバーに伝わり、その全量が熱伝達で部屋の空気に伝わるということなので、ヒーターの放射熱を次式で計算します(式49)。

式49 式49

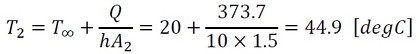
 ヒーターに必要なワット数が簡単に求まりました。続いて、チャンバー温度は次式となります(式50)。

式50 式50

 これまでの苦労が台無しとなる身も蓋もない結果となりましたが、チャンバー面を1面とし、チャンバー温度はどの場所でも同じ温度だと仮定すると、簡単に結果が得られます。チャンバー温度はどの場所でも同じ温度だということは、チャンバー内で熱が抵抗なく移動できるということであり、チャンバー材質の熱伝導率は無限大であると仮定できます。

 チャンバーの温度分布を知りたい場合は、チャンバーの面の数を増やす必要があります。つまり、式36のnの数を増やし、今回の方法で計算することになります。

Copyright © ITmedia, Inc. All Rights Reserved.

特別協賛PR
スポンサーからのお知らせPR
Pickup ContentsPR
Special SitePR
あなたにおすすめの記事PR