時々刻々と変化する温度分布CAE解析とExcelを使いながら冷却系設計を自分でやってみる(8)(1/6 ページ)

CAE解析とExcelを使いながら冷却系の設計を“自分でやってみる/できるようになる”ことを目指す連載。連載第8回は、非定常熱伝導問題に取り組む。

» 2025年05月26日 09時00分 公開

 今回は非定常熱伝導問題に取り組みましょう。CAE解析では「過渡熱伝導問題」となります。最後に、ちょっとしたオマケも用意しています。

⇒「連載バックナンバー」はこちら

その前に、サーボモーターのデザイン

 まずは、連載第1回で紹介したサーボモーターのデザインの理由について触れておきます。図1はどこにでもあるサーボモーターです。ボディーはどうやらアルミダイカスト製で、黒く塗装されています。またひだひだがあるモーターも見受けられます。ひだひだは普通の誘導モーターでよく見掛けます。サーボモーターの材質と色と形状はどのような理屈で決められているか考察してみましょう。サーボモーターは定格電流よりもはるかに大きな電流を瞬間的に流すことがあるため、冷却がとても重要になります。

サーボモーター 図1 サーボモーター[クリックで拡大]

 本連載の読者の皆さんであれば、もう理由はお分かりですよね。ボディーがアルミダイカスト製なのは、アルミニウム合金の熱伝導率が高いからです(連載第6回の表3)。ひだひだが付いているのは、熱伝達面積を大きくするためです。そして、モーターが黒く塗装されているのは、黒体放射に近づけるためでした。

熱い棒の両端に突然氷を接触させた場合

 図2のような問題について考えてみましょう。100[degC]に加熱された鉄の棒があり、これを突然、両端から氷で冷やしたとします。このとき、鉄の棒は時々刻々と冷やされていきます。ここでの問題は、時間とともに変化する棒の温度を求めることが目的です。このときの条件を数式で表すと、以下のようになります(式1式2)。

式1 式1
式2 式2
棒の両端の温度が突然0[degC]に固定された問題 図2 棒の両端の温度が突然0[degC]に固定された問題[クリックで拡大]

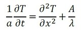
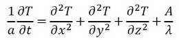
 連載第2回で導出した熱伝導方程式を使います。次式です(式3式4)。

式3 式3
式4 式4

 1次元問題なので式5となります。

式5 式5
       1|2|3|4|5|6 次のページへ

Copyright © ITmedia, Inc. All Rights Reserved.

特別協賛PR
スポンサーからのお知らせPR
Pickup ContentsPR
Special SitePR
あなたにおすすめの記事PR