電線に流すことができる電流値を求めるCAE解析とExcelを使いながら冷却系設計を自分でやってみる(6)(1/3 ページ)

CAE解析とExcelを使いながら冷却系の設計を“自分でやってみる/できるようになる”ことを目指す連載。連載第6回は、円筒座標系の熱伝導方程式を解き、電線に何アンペアまで流せるかを求める。

» 2025年04月22日 10時00分 公開

 円筒座標系の熱伝導方程式を解いて、電線に何A(アンペア)まで流せるかを求めましょう。

⇒「連載バックナンバー」はこちら

電線の温度

 今回の設計モチーフは、図1に示す電源につながれた導体(電線)です。

電源につながれた導体 図1 電源につながれた導体[クリックで拡大]

 電流が多過ぎると導体が発熱し、絶縁被覆が焦げたり溶けたりします。導体と絶縁被覆の最高温度を求めましょう。絶縁被覆の最高温度が、例えば40[degC]となるような電流値を逆算すれば、電線に何Aまで流せるのかが分かります。

 導体内部の温度分布は式1で表されます。

式1 式1

 Aは単位体積当たりの発熱量であり、式2式3で表されます。

式2 式2
式3 式3

 導体の抵抗は式4で求められます。

式4 式4

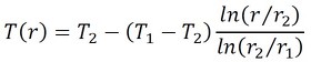
 被覆内部の温度分布は式5で表されます。

式5 式5

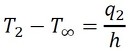
 被覆表面の温度T2式6式7で求まります。

式6 式6
式7 式7

 主流の温度は室温ですね。20[degC]としましょう。熱伝達率は自然対流熱伝達の大きめな値とし、10[W/m2.K]にします。導体の熱伝達率は銅の値として384[W/m.K]に、絶縁被覆の熱伝達率は樹脂材料の代表値として0.8[W/m.K]に、銅の比抵抗は1.818×10-8[Ohm.m]にしました。表1に設計計算シートを示します。

電線の設計計算シート 表1 電線の設計計算シート[クリックで拡大]

 表1は、ヘアドライヤーのコードを想定しています。1000[W]のドライヤーと仮定し、電流値は10[A]、被覆の厚さは0.5[mm]としました。被覆表面の温度T2は36.8[degC]となり、ヘアドライヤーのコードはちょうど人肌程度に温められることになります。

       1|2|3 次のページへ

Copyright © ITmedia, Inc. All Rights Reserved.

特別協賛PR
スポンサーからのお知らせPR
Pickup ContentsPR
Special SitePR
あなたにおすすめの記事PR