ニュートン流体とパイプ内の層流:CAE解析とExcelを使いながら冷却系設計を自分でやってみる(9)(4/4 ページ)
流量を計算します。これは普通の積分ですね(式22)。
式22[クリックで拡大]
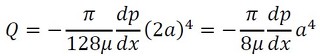
パイプの半径をaとします。d=2aを代入します(式23)。
式23
発達した円管流れでは、圧力の下がり方は一様です。圧力勾配は、次式で表すことができます。これを代入します(式24、式25)。
式24
式25
「ハーゲン・ポアズイユ(Hagen-Poiseuille)」の式を導出することができました。
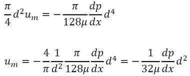
それでは、平均流速を求めましょう。平均流速をumとすると、式26が成立します。
式26
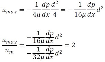
平均流速と最大流速umaxの関係を調べましょう(式27)。
式27
平均流速の2倍が、最大流速となります。
使用した水あめは、家族でおいしくいただきました。次回は、流体解析を行い、式20と式24を比較しましょう。
あっ、そうそう。「水あめにはチクソ性(thixotropy)があるから、厳密にはニュートン流体じゃないよね?」といった細かいツッコはひとまずご容赦ください。 (次回へ続く)
⇒「連載バックナンバー」はこちら
高橋 良一(たかはし りょういち)
RTデザインラボ 代表
1961年生まれ。技術士(機械部門)、計算力学技術者 上級アナリスト、米MIT Francis Bitter Magnet Laboratory 元研究員。
構造・熱流体系のCAE専門家と機械設計者の両面を持つエンジニア。約40年間、大手電機メーカーにて医用画像診断装置(MRI装置)の電磁振動・騒音の解析、測定、低減設計、二次電池製造ラインの静音化、液晶パネル製造装置の設計、CTスキャナー用X線発生管の設計、超音波溶接機の振動解析と疲労寿命予測、超電導磁石の電磁振動に対する疲労強度評価、メカトロニクス機器の数値シミュレーションの実用化などに従事。現在RTデザインラボにて、受託CAE解析、設計者解析の導入コンサルティングを手掛けている。⇒ RTデザインラボ
時々刻々と変化する温度分布
CAE解析とExcelを使いながら冷却系の設計を“自分でやってみる/できるようになる”ことを目指す連載。連載第8回は、非定常熱伝導問題に取り組む。
「ふく射」による熱の伝わり
CAE解析とExcelを使いながら冷却系の設計を“自分でやってみる/できるようになる”ことを目指す連載。連載第7回は、「ふく射」による熱の伝わりについて考える。
ストップ! 外注丸投げ――CAE解析や冷却系の設計を自分でやれるようになろう
CAE解析とExcelを使いながら冷却系の設計を“自分でやってみる/できるようになる”ことを目指す連載。連載第1回では、冷却系設計に関する題材をいくつか紹介し、本連載で取り上げるトピックスについて整理する。
CAEソフトに仕掛けられたトラップ
金属疲労を起こした際にかかる対策コストは膨大なものになる。連載「CAEを正しく使い疲労強度計算と有機的につなげる」では、CAEを正しく使いこなし、その解析結果から疲労破壊の有無を予測するアプローチを解説する。第1回のテーマは「CAEソフトに仕掛けられたトラップ」だ。
連載「CAEを正しく使い疲労強度計算と有機的につなげる」の内容と有限要素法
金属疲労を起こした際にかかる対策コストは膨大なものになる。連載「CAEを正しく使い疲労強度計算と有機的につなげる」では、CAEを正しく使いこなし、その解析結果から疲労破壊の有無を予測するアプローチを解説する。連載第2回では本連載の「あらすじ」と「有限要素法」について取り上げる。
解析専任者に連絡する前に、設計者がやるべきこと
連載「CAEと計測技術を使った振動・騒音対策」では、“解析専任者に連絡する前に、設計者がやるべきこと”を主眼に、CAEと計測技術を用いた機械の振動対策と騒音対策の考え方や、その手順について詳しく解説する。連載第1回では、本連載の趣旨、振動対策や騒音対策が必要となる場面などについて取り上げる。
Copyright © ITmedia, Inc. All Rights Reserved.