ニュートン流体とパイプ内の層流CAE解析とExcelを使いながら冷却系設計を自分でやってみる(9)(3/4 ページ)

» 2025年06月10日 06時00分 公開

円管内流れの微分方程式の検算

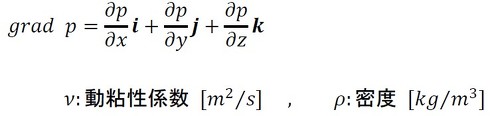
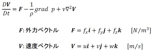
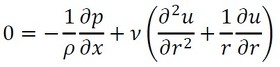
 さて、式8は正しいのでしょうか。これを確認するために「ナビエ・ストークス(Navier-Stokes)」式と比較してみましょう。ナビエ・ストークス式は次式で表されます(参考文献[1])。

式9 式9
式10 式10

 円筒座標系におけるナビエ・ストークス式では、速度の記号が以下のように変わります。

[クリックで拡大]

 式9の左辺の演算子は式11です。

式11 式11

 今回の問題では、流れに時間変化がないため、式11の右辺第1項はゼロになります。次に、Vr=Vθ=0であるため、第2項および第3項もゼロです。さらに、z座標が変わっても流速分布が変化しないため、第4項もゼロになります。よって、式9の左辺はゼロとなります。

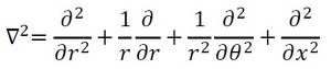
 式9のラプラス演算子∇2は、円筒座標系では式12となります。なお、円筒座標系における軸方向はz方向ですが、図5での軸方向はxなので表記を変えます。

式12 式12

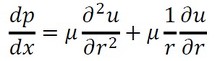
 Vr=0、Vθ=0、さらに外力ベクトルもゼロであるため、式9の軸方向成分は式13として表されます。

式13 式13

 流速uは、角度θと流れの方向に対して一定値であるため、結局式12は次のようになります(式14)。

式14 式14

 圧力はxだけの関数で、流速uは半径だけの関数なので、偏微分記号を微分記号に変えます。そして、μ=ρνの関係式を用います。

式15 式15

 おおっ! 式8と一致しました。計算に誤りはなかったようです。

参考文献:

  • [1]生井武文、井上雅弘|機械工学基礎講座 粘性流体の力学|理工学社(1978)

円管内流れの速度分布

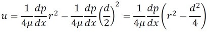
 では、式8を解いてみましょう。とはいえ、この微分方程式を筆者の力で解くのは難しいため、カンニングします。参考文献[2]によると、式8の一般解は式16となります。

式16 式16

 この一般解を微分すると、速度勾配は式17で表されます。

式17 式17

 境界条件から積分定数を求めます。中心上では対称性から、せん断応力はゼロになります。これは、円筒座標系においてマイナスの半径という概念がなく、半径ゼロの位置では、発生したせん断力を支える相手が存在しないためです。このことから、式18が成立します。

式18 式18

 式18式16に代入すると、積分定数C1はゼロになります。

 パイプ壁面の流速はゼロなので、式19が成立します。

式19 式19

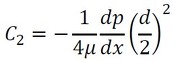
 式19式16に代入すると、積分定数C2式20となります。

式20 式20

 積分定数を式16に代入すると、速度分布は式21で表されます。

式21 式21

 この速度分布は放物線になりますね。中心の流速を求めるときは、r=0を代入しますが、これでは流速がマイナス値になりそうです。しかし、圧力勾配dp/dx2)がマイナス値であるため、結果として流速はプラス値となります。つまり、圧力が下がる方向に流体が流れることを意味します。同様に、熱伝導の場合も温度が下がる方向に熱が伝わりましたよね。

※2の正しい表記 2の正しい表記

参考文献:

  • [2]日本機械学会|機械工学便覧 A5 流体工学|(1992)

Copyright © ITmedia, Inc. All Rights Reserved.

特別協賛PR
スポンサーからのお知らせPR
Pickup ContentsPR
Special SitePR
あなたにおすすめの記事PR