さまざまな反応器における設計方程式はじめての化学工学(11)(2/2 ページ)

» 2025年10月02日 07時00分 公開
[かねまるMONOist]
前のページへ 1|2       

PFRの設計方程式

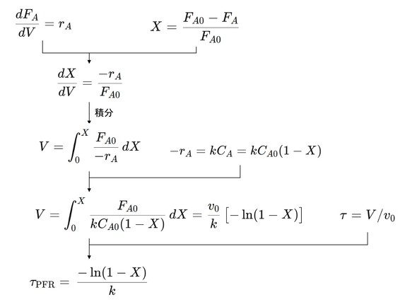
 PFRは流体が管出口に近づくほど反応が進みます。そのため原料Aの消費速度は、管内における位置を表す体積座標V(もしくは長さ)の変化から求められます。CSTRと同様に、反応速度式を組み合わせることで、空間時間を用いた式表現が出来ます。

図6 一次不可逆反応におけるPFRの設計方程式。F<sub>A</sub>:反応後のモル流量、F<sub>A0</sub>:反応後のモル流量、V:体積、v<sub>0</sub>:体積流量、X:転化率、r<sub>A</sub>:原料Aの消費速度、k:反応速度定数、<sub>T</sub>:空間時間 図6 一次不可逆反応におけるPFRの設計方程式。FA:反応後のモル流量、FA0:反応後のモル流量、V:体積、v0:体積流量、X:転化率、rA:原料Aの消費速度、k:反応速度定数、T:空間時間[クリックで拡大]

 実は、この式はBRの結果と一致します。つまりBRでの反応時間とPFRでの空間時間が同じ式形です。

CSTRとPFRの特性比較

 同じ連続式であるCSTRとPFRについて、求めた空間時間空特性を比較します。空間時間Tは(体積)/(体積流量)=V/v0であるため、値が小さい方が反応器のサイズを小さくできます。

 式から、PFRの方がCSTRよりも小さい体積で反応できます。この影響は高い転化率を求めるほど顕著に現れます。反応速度定数k=0.20s-1とし、転化率X=0.500.90の2種類で比較します。X=0.50のとき、TPFR=3.5sTCSTR=5.0sです。対してX=0.90のとき、TPFR=12s、TCSTR=45sです。

 PFRの反応は、入り口で高濃度/高速度で一気に進みます。対してCSTRの反応は、混合で常に希釈された状態で行われます。反応時間の面ではPFRの方が有利です。しかしPFRは急激に反応が進むことから、反応熱により温度が急上昇することも意味します。局所的な温度上昇を防ぐ必要があり、反応熱の除去難易度が向上します。

 CSTRの出口に次のCSTRを設けるように、直列多段に接続したとします。すると各段で原料の出口濃度が階段状に下がりながら反応は進みます。段数を増やすほど階段は滑らかになり、軸方向で連続的に濃度が変わるPFRの挙動に近づきます。

 ただし、段数を増やすほど転化率は上がりますが、次第に効果は薄れていきます。装置規模(体積/コスト)を抑えつつPFRに近づける現実的な解は、5〜10段程度です。実際に転化率をPFR並みにするには数十段の構成が求められてしまい、現実的ではありません。体積(コスト)、選択性(品質)、除熱(安全性)を加味して総合的に設備構成を決定します。



まとめ

 今回は転化率と空間時間の視点から、各反応器の設計方程式を紹介しました。この考え方が基本となります。そして今回取り上げた一次、不可逆、等温という条件からさらに反応条件を広げていくことでさまざまな反応に対応できるようになります。(次回へ続く)

⇒ 連載バックナンバーはこちら

筆者代表紹介

かねまる

プラント技術の解説サイト「ケムファク」を運営。大学院まで化学を専攻し、現在は化学メーカーの生産技術職に従事。


前のページへ 1|2       

Copyright © ITmedia, Inc. All Rights Reserved.

特別協賛PR
スポンサーからのお知らせPR
Pickup ContentsPR
Special SitePR
あなたにおすすめの記事PR