さまざまな反応器における設計方程式はじめての化学工学(11)(1/2 ページ)

化学反応器の設計には設計方程式の理解が必要です。今回は、さまざまな反応器を例に、一次、不可逆、等温における設計方程式について解説します。

» 2025年10月02日 07時00分 公開
[かねまるMONOist]

転化率(反応率)の考え方と基本式

 原料Aが製品に変化した場合の例を考えます。この時、転化率(反応率)Xは回分式と連続式で図1のように表せます。回分反応器(BR)のような回分式は仕込量基準、連続槽型反応器(CSTR)や管型反応器(PFR)のような連続式は供給量基準となります。

図1 回分式と連続式における転化率の表現方法。X:転化率、添え字A:原料A、N<sub>A</sub>:反応後の物質量、N<sub>A0</sub>:反応前の物質量、F<sub>A</sub>:反応後のモル流量、F<sub>A0</sub>:反応前のモル流量 図1 回分式と連続式における転化率の表現方法。X:転化率、添え字A:原料A、NA:反応後の物質量、NA0:反応前の物質量、FA:反応後のモル流量、FA0:反応前のモル流量[クリックで拡大]

 転化率Xを用いることで、図2のような形で反応前後での濃度の式が求められます。なお、単純化のため、反応速度が濃度に比例し、逆反応が起こらない一次不可逆反応(A→B)が前提になっています。

図2 一次不可逆反応における濃度、C<sub>A</sub>:反応後のモル濃度、C<sub>A0</sub>:反応後のモル濃度、X:転化率 図2 一次不可逆反応における濃度、CA:反応後のモル濃度、CA0:反応後のモル濃度、X:転化率[クリックで拡大]

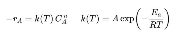
 反応速度は図3に示す一般式で表されます。右の式はアレニウスの式です。本記事では等温として反応速度定数kを一定と見なして計算します。非等温の時は後で温度依存を調整する必要があります。

図3 反応速度の一般式。rA:原料Aの消費速度、k(T):反応速度定数、n:反応次数、C<sub>A</sub>:原料Aのモル濃度、A:頻度因子、E<sub>a</sub>:活性化エネルギー、R:気体定数、T:絶対温度 図3 反応速度の一般式。rA:原料Aの消費速度、k(T):反応速度定数、n:反応次数、CA:原料Aのモル濃度、A:頻度因子、Ea:活性化エネルギー、R:気体定数、T:絶対温度[クリックで拡大]

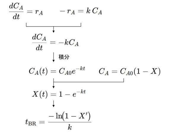
BRの設計方程式

 一次不可逆におけるBRの物質収支式を用いて、初期条件t=0、CA=CA0で積分します。すると目標転化率X’における反応時間tBRを図4のように求められます。

図4 一次不可逆反応におけるBRの設計方程式。C<sub>A</sub>:反応後のモル濃度、C<sub>A0</sub>:反応後のモル濃度、X:転化率、r<sub>A</sub>:原料Aの消費速度、k:反応速度定数、X’:目標転化率、t:反応時間 図4 一次不可逆反応におけるBRの設計方程式。CA:反応後のモル濃度、CA0:反応後のモル濃度、X:転化率、rA:原料Aの消費速度、k:反応速度定数、X’:目標転化率、t:反応時間[クリックで拡大]

 反応時間−転化率の関係から「何分で反応を停止すれば良いか」を決め、選択率や温度の上限を設計します。

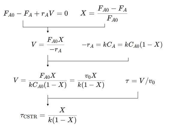
CSTRの設計方程式

 CSTRで設計方程式を考える場合、定常状態であると仮定します。定常状態は原料の消費速度と生成物の発生速度が同じ状態です。また、供給した原料は完全混合されて、濃度が均一であると仮定します。この条件の場合、槽内の濃度と出口の濃度は同じになります。

 定常状態/完全混合の条件で定常物質収支式を求め、転化率を用いて表現します。さらに定常物質収支式と反応速度式を組み合わせることで、図5のように空間時間T=(体積)/(体積流量)=V/v0を用いた表現ができます。この空間時間は「その反応器に流体が平均して何秒滞留するか」という設計の基本指標です。

図5 一次不可逆反応におけるCSTRの設計方程式。F<sub>A</sub>:反応後のモル流量、F<sub>A0</sub>:反応後のモル流量、V:体積、v<sub>0</sub>:体積流量、X:転化率、r<sub>A</sub>:原料Aの消費速度、k:反応速度定数、<sub>T</sub>:空間時間 図5 一次不可逆反応におけるCSTRの設計方程式。FA:反応後のモル流量、FA0:反応後のモル流量、V:体積、v0:体積流量、X:転化率、rA:原料Aの消費速度、k:反応速度定数、T:空間時間[クリックで拡大]
       1|2 次のページへ

Copyright © ITmedia, Inc. All Rights Reserved.

特別協賛PR
スポンサーからのお知らせPR
Pickup ContentsPR
Special SitePR
あなたにおすすめの記事PR