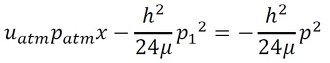
変数分離形になったので、両辺を積分します(式26)。
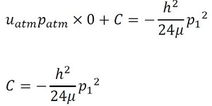
積分定数を求めるための境界条件として、上流(x=0とします)での圧力をp1としましょう。式27、式28の関係となります。
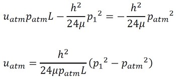
これらを式26に代入します(式29)。
出口での流速はuatmです。x=L、p=patmを代入すると、式30になります。
ここから、流量は式31となります。
なお、流量計を通過しているガスの圧力が高く、温度も0[℃]でない場合、ガス流量計は通常、圧力が大気圧、温度が0[℃]になったと仮定したときの流量を出力します。単位は[Nm3/h]で、「毎時ノルマルリューベ」と呼ばれます。
今回の問題では出口が大気開放されているので、圧力に関してはそのままの値を使うことができますが、温度については補正が必要になります。
いよいよ実験値との比較です。表2に計算結果を、図6に圧力損失の実験値と計算値を示します。両者は良い一致を示しました。
グラフを見ると、流量が0.5[Nm3/h]のとき、圧力損失は7万[Pa]であり、大気圧(10万1325[Pa])の約0.7倍に相当します。従って、このときの上流側の絶対圧は約17万3500[Pa]、つまり大気圧の1.7倍です。入り口と出口の圧力比が1.7[-]なので、流速比は1/1.7[-]となり、出口の流速は入り口の1.7倍になります。つまり、入り口側の気体はかなり圧縮されていることになります。
層流の話はこのあたりにしておきましょう。次回からは乱流に入ります。かなり手ごわいですよ。 (次回へ続く)
高橋 良一(たかはし りょういち)
RTデザインラボ 代表
1961年生まれ。技術士(機械部門)、計算力学技術者 上級アナリスト、米MIT Francis Bitter Magnet Laboratory 元研究員。
構造・熱流体系のCAE専門家と機械設計者の両面を持つエンジニア。約40年間、大手電機メーカーにて医用画像診断装置(MRI装置)の電磁振動・騒音の解析、測定、低減設計、二次電池製造ラインの静音化、液晶パネル製造装置の設計、CTスキャナー用X線発生管の設計、超音波溶接機の振動解析と疲労寿命予測、超電導磁石の電磁振動に対する疲労強度評価、メカトロニクス機器の数値シミュレーションの実用化などに従事。現在RTデザインラボにて、受託CAE解析、設計者解析の導入コンサルティングを手掛けている。⇒ RTデザインラボ
 CAEによる流体解析の手順を確認/実行し、紙と鉛筆による結果と比べる
CAEによる流体解析の手順を確認/実行し、紙と鉛筆による結果と比べる ニュートン流体とパイプ内の層流
ニュートン流体とパイプ内の層流 CAEソフトに仕掛けられたトラップ
CAEソフトに仕掛けられたトラップ 連載「CAEを正しく使い疲労強度計算と有機的につなげる」の内容と有限要素法
連載「CAEを正しく使い疲労強度計算と有機的につなげる」の内容と有限要素法 解析専任者に連絡する前に、設計者がやるべきこと
解析専任者に連絡する前に、設計者がやるべきこと 設計者なら一度はやってみたい形状最適化、お金をかけずにどこまでできる?
設計者なら一度はやってみたい形状最適化、お金をかけずにどこまでできる?Copyright © ITmedia, Inc. All Rights Reserved.
メカ設計の記事ランキング