圧縮性流体の圧力損失を求めて実験値と比較するCAE解析とExcelを使いながら冷却系設計を自分でやってみる(11)(3/5 ページ)

» 2025年07月16日 07時00分 公開

 これで流速分布が得られました。速度分布をグラフにすると図4となります。

平行壁間流れ 図4 平行壁間流れ[クリックで拡大]

 連載第9回で紹介した映像を再掲します(動画1)。これは「クエットの流れ」に相当すると思います。クエットの流れの式を使うと、油潤滑すべり軸受の摩擦トルクや摩擦動力を求めることができます。「ペトロフの式」として有名です。

動画1 水あめ実験映像(連載第9回より)

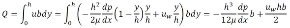
 それでは、流量を求めましょう。積分すればいいですね(式14)。

式14 式14

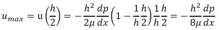
 uw=0のとき(ポアゾイユの流れ、図4左図)の最高速度umax式15です。

式15 式15

 平均流速をumとすると、式14においてuw=0として、流量は式16で表されます。

式16 式16

 このとき平均流速は式17となります。

式17 式17

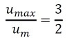
 式15式17で割り算すると、平均流速と最大流速の関係は式18となります。

式18 式18

Copyright © ITmedia, Inc. All Rights Reserved.

特別協賛PR
スポンサーからのお知らせPR
Pickup ContentsPR
Special SitePR
あなたにおすすめの記事PR