圧縮性流体の圧力損失を求めて実験値と比較するCAE解析とExcelを使いながら冷却系設計を自分でやってみる(11)(2/5 ページ)

» 2025年07月16日 07時00分 公開

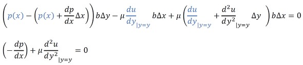
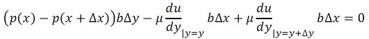
 小さな直方体の力の釣り合いは式1となります。

式1 式1

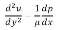
 粘性係数の定義を式2に示します。

式2 式2

 式2式1に代入します(式3)。

式3 式3

 ここで、以下の式4がすぐに出てきますね。

式4 式4

 式4式3に代入し、計算を進めます(式5)。

式5 式5[クリックで拡大]

 式5の左辺第2項の表記を変えて移項したら、微分方程式ができました(式6)。

式6 式6

 これは変数分離形なので、両辺を積分します(式7式8)。

式7 式7
式8 式8

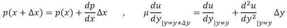
 積分定数を境界条件から求めます。1つ目の境界条件は式9です。

式9 式9

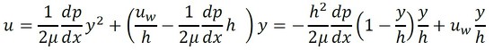
 これでC2が求まりました(式10)。

式10 式10

 2つ目の境界条件は式11です。

式11 式11

 式11式8に代入します(式12)。

式12 式12

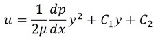
 ここからC1が求まりました。式12式8に代入します(式13)。

式13 式13

Copyright © ITmedia, Inc. All Rights Reserved.

特別協賛PR
スポンサーからのお知らせPR
Pickup ContentsPR
Special SitePR
あなたにおすすめの記事PR