圧縮性流体の圧力損失を求めて実験値と比較するCAE解析とExcelを使いながら冷却系設計を自分でやってみる(11)(4/5 ページ)

» 2025年07月16日 07時00分 公開

圧縮流体の圧力損失

 準備が整ったところで、圧縮流体の圧力損失を求めていきましょう。図1のような場合は圧力損失が大きく、上流と下流で圧力差があるため、流速にも変化が生じます。これまでは「流速は流れ方向に一定」と仮定していましたが、この仮定は適用できなくなりました。

狭い流路を流れる圧縮性気体の流れ 図5 狭い流路を流れる圧縮性気体の流れ[クリックで拡大]

 またしても積分が登場します。そこでまず、気体の粘性係数が圧力によってどのように変化するかを確認しておきましょう。表1に、酸素の粘性係数データを示します。温度によって粘性係数は変化しますが、絶対圧力が10倍になっても、粘性係数はほとんど変化していません。これはラッキーです。積分の際、粘性係数を定数として扱って問題なさそうです。

酸素の粘性係数 表1 酸素の粘性係数 単位:Pa.s[クリックで拡大]

 ここでの気体は酸素です。酸素を理想ガスと見なすと、式19が成立します。

式19 式19

 これを変形します(式20)。

式20 式20

 今、断面積A[m2]の流路内において、ある位置の圧力をp[Pa]、平均流速をum[m/s]、気体の密度をρ[kg/m3]とします。出口は大気開放されており、出口の圧力はpatm、平均流速はuatm、密度はρatmです。流路のどの位置でも質量流量は等しいため、式21が成立します。

式21 式21

 1[kg]当たりの体積vは、密度ρの逆数なので、ρ=1/vです。これを式21に代入し、変形します(式22)。

式22 式22

 続いて、式22式20を代入します。

式23 式23

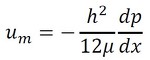
 ここで、平均流速の式を使います(式24)。

式24 式24

 式24式23を代入し、変形します(式25)。

式25 式25

Copyright © ITmedia, Inc. All Rights Reserved.

特別協賛PR
スポンサーからのお知らせPR
Pickup ContentsPR
Special SitePR
あなたにおすすめの記事PR