冷却系の設計を自分でやってみる企画を総括するCAE解析とExcelを使いながら冷却系設計を自分でやってみる(19)(4/4 ページ)

» 2025年11月10日 07時00分 公開
前のページへ 1|2|3|4       

ベルヌーイの式の利用

 ベルヌーイの式は、通常はエネルギー損失がないものとして扱います。ここでは、代表的な利用例を紹介します。

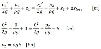
 まず、水深h[m]の水圧を求めてみましょう。図6に示すように、海面を「1」、水深h[m]を「2」として、この2点を流線で結びます。

水深h[m]の水圧 図6 水深h[m]の水圧[クリックで拡大]

 エネルギー損失がないと仮定すると、ベルヌーイの式は以下のようになります。水深h[m]における水圧はp2[Pa]です。

式3 式3

 次に、水深10[m]の場合を計算してみましょう。

式4 式4

 大気圧は0.1[MPa]なので、水深10[m]ではゲージ圧がほぼ大気圧、絶対圧で約2気圧となります。

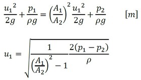
 次に、ピトー管(Pitot tube)を紹介します。これはパイプ内の流速を測定するためのものです。図7に示すように、2つの圧力計を取り付けます。乱流では速度分布が「1/7べき乗則」に従うため、パイプ内の流速は半径方向でほぼ一定と考え、これを基に流速を求めます。

ピトー管 図7 ピトー管[クリックで拡大]

 図7の「2」の位置は流れがせき止められているため、速度はゼロになります。この状態でベルヌーイの式に式5を代入します。

式5 式5

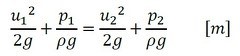
 ベルヌーイの式は次のように表せます。

式6 式6

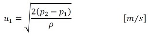
 これを変形すると、流速を求める式7が得られます。

式7 式7

 なお、水力学の専門書では、圧力をガラス管内の水面の高さで表現します。この高さを「水頭」「ヘッド」、あるいは「10m水柱」と呼びます。ポンプに対しては「揚程」という用語が使われます。

 例えば、血圧測定で示される120[mmHg]は、ガラス管内の水銀の液面が120[mm]持ち上がる高さに相当する圧力です。ピトー管の利用例としては、図8に示すように飛行機の速度測定などがあります。

ピトー管による飛行機速度測定のイメージ 図8 ピトー管による飛行機速度測定のイメージ[クリックで拡大]

 最後に、ベンチュリ管を紹介します。ベルヌーイの式は、連続の式と組み合わせて使用することが多いです。図9にベンチュリ管を示します。流れを絞って流速を上げ、そのときに発生する圧力差を測定します。

ベンチュリ管 図9 ベンチュリ管[クリックで拡大]

 「1」と「2」で水頭が等しいとすると、ベルヌーイの式は以下のように表されます。

式8 式8

 次に、連続の式を変形します。

式9 式9

 この式を式8に代入します。

式10 式10

 これにより、圧力を測定することで流速や流量を求められるようになります。

 ベンチュリ管の話を書いていたら、オリフィスの身近な利用例を思い出しました。筆者が転勤で社宅に引っ越した年の夏のことです。社宅は高度経済成長期に建てられた4階建ての団地でした。その夏は記録的な猛暑で、エアコンを買いに行ったものの、納品まで1カ月待ちといわれ、待っている間に夏が終わりそうだったので、結局購入を諦めました。

 その時期、妻は下の子を出産するため実家に帰っており、筆者一人で社宅の夏を乗り切ることになりました。しかし、あまりの暑さで眠れません。そこで、少しでも夜風を取り入れようと考え、図10に示すように窓を全開にし、枕元のふすまをわずかに開けてみました。

社宅の間取り 図10 社宅の間取り[クリックで拡大]

 連続の式で考えると、この「ふすまオリフィス」によって筆者の頭上を通る風速が速くなります。この工夫と冷感シャンプーの力を借りて、何とか猛暑を乗り切ったことを思い出します。これが、筆者にとって私生活で活用した水力学の唯一の実例です。



 さて、気になる次回ですが、あと1話、「一発ドッカーン」とした内容を書きたいと思います。少々お待ちください。 (次回へ続く)

⇒「連載バックナンバー」はこちら

Profile

高橋 良一(たかはし りょういち)
RTデザインラボ 代表

1961年生まれ。技術士(機械部門)、計算力学技術者 上級アナリスト、米MIT Francis Bitter Magnet Laboratory 元研究員。

構造・熱流体系のCAE専門家と機械設計者の両面を持つエンジニア。約40年間、大手電機メーカーにて医用画像診断装置(MRI装置)の電磁振動・騒音の解析、測定、低減設計、二次電池製造ラインの静音化、液晶パネル製造装置の設計、CTスキャナー用X線発生管の設計、超音波溶接機の振動解析と疲労寿命予測、超電導磁石の電磁振動に対する疲労強度評価、メカトロニクス機器の数値シミュレーションの実用化などに従事。現在RTデザインラボにて、受託CAE解析、設計者解析の導入コンサルティングを手掛けている。⇒ RTデザインラボ


前のページへ 1|2|3|4       

Copyright © ITmedia, Inc. All Rights Reserved.

特別協賛PR
スポンサーからのお知らせPR
Pickup ContentsPR
Special SitePR
あなたにおすすめの記事PR