現象のモデリングの勘所 〜現象の式のマトリクス表現〜1Dモデリングの勘所(43)(1/3 ページ)

「1Dモデリング」に関する連載。連載第43回では「現象のモデリングの勘所」をテーマに取り上げる。

» 2025年05月16日 11時00分 公開

 まず、現象のモデリングについておさらいしたい。現象のモデリングは、基本的に状態変数のフローを追いながら(電気回路を描くように)フロー図を作成し、この図に基づいて電流則と電圧則(キルヒホッフの法則)を用いて式を導出し、解くという手順で行われる。

 この手法自体に何ら問題はない。だが、図を描いた段階では視覚的に理解できるものの、式になると(これは式表現の宿命ではあるが)変数間の関係が分かりにくくなる。これは、式の中で独立変数と従属変数が明確でないことに起因している。そこで今回は、現象の式をマトリクス表現にすることで、この問題の改善を試みる。

⇒連載バックナンバーはこちら

ドライヤーのモデリングの振り返り(参考文献[1])

 図1の現象の共通表現用法を用いて、フロー図の作成と定式化を行った。

現象の共通表現 図1 現象の共通表現[クリックで拡大]

 図1に従って、ドライヤーのモデリングを行う。図2に、ドライヤーのフロー図を示す。

ドライヤーの熱モデル 図2 ドライヤーの熱モデル[クリックで拡大]

 この図では、ジュール熱Qinの流入を起点として、ドライヤー各部への熱の流れを表しており、それぞれの温度(ヒーター、出口流れ、筐体)を求めている。流れ自体はその流量を外部(電気、モーター、ファンの連成解析)で求め、ヒーターの入り口に入力している。つまり、流れの入り口温度はTrで、出口温度はT2である。これを踏まえると、

式1 式1

となる。q、ρ、cはそれぞれ、空気の風量、密度、比熱である。同様に、

式2 式2

となる。このあたりの説明は、前回の内容では不十分であった。

 図2を基に定式化すると以下となる。

 熱の流れの連続性(電流則)から、

式3 式3

が成り立つ。各要素の熱コンダクタンスに関しては、

式4 式4

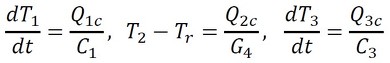
となる。さらに、ヒーターの熱容量C1[J/K]、出口温度と室温間の熱コンダクタンスG4[W/K]、筐体の熱容量C3[J/K]に関しては、

式5 式5

となる。これらを用いれば各部の温度、熱量が求まる。このとき、独立変数はQin、T1、T2、T3のみであり、他の変数は全て従属変数である。このことは上式からも、図2からも分かりにくい。

       1|2|3 次のページへ

Copyright © ITmedia, Inc. All Rights Reserved.

特別協賛PR
スポンサーからのお知らせPR
Pickup ContentsPR
Special SitePR
あなたにおすすめの記事PR