熱交換器の種類と伝熱計算方法はじめての化学工学(7)(2/2 ページ)

» 2025年06月04日 08時00分 公開
[かねまるMONOist]
前のページへ 1|2       

実際の伝熱計算

 実際の伝熱計算は、主に次の流れで進められます。

  1. 必要な伝熱量Qを求めます。
  2. 温度差を整理し、対数平均温度差(LMTD)を計算します。
  3. 各流体側の伝熱係数hを相関式から推算します。
  4. 総括伝熱係数Uを計算します。
  5. 必要伝熱面積Aを計算します。
  6. 配管/構造制約に合わせて管長や段数を決します。
  7. 圧力損失/経済性をチェックして完了。

 まず、どれだけの熱を移動させる必要があるか(伝熱量)を求めます。これは比熱から計算できます。熱交換方式に関わらず、対象流体を何度から何度まで温度変化させたいかを考えます。

図1 伝熱量の計算式 図1 伝熱量の計算式。Q:伝熱量[kW=kJ/s]、m:質量流量[kg/s]、cp :定圧比熱[kJ/(K・kg)]、ΔT:温度差[K]

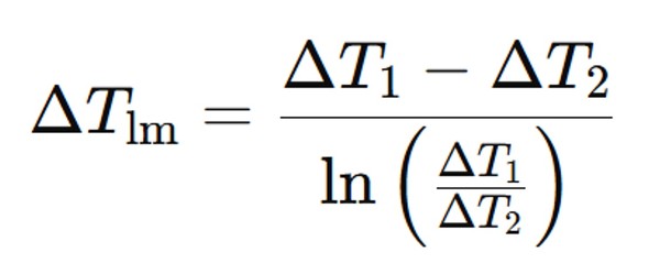
 熱交換器における伝熱は、平均温度差では正確に計算できません。これは熱交換器内での温度差が一定ではなく、入り口から出口にかけて連続的に変化するためです。そこで、対数平均温度差であるLMTDを利用します。LMTDは熱交換器の入り口と出口での温度差の変化を対数的に平均した値です。

図2 対数平均温度差の計算式 図2 対数平均温度差の計算式。ΔTlm:対数平均温度差[K]、ΔT1、ΔT2:入り口と出口での温度差(温度差の大きい側が1、小さい側が2)[K]

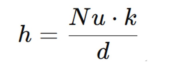
 次に、伝熱をどれだけ効率よく行えるかを表す熱伝達係数のhを求めます。

図3 伝熱係数の計算式 図3 伝熱係数の計算式。h:熱伝達係数[W/(m2・K)]、Nu:ヌセルト数[-]、k:熱伝導率[W/(m・K)]、d:代表長さ(管内径など)[m]

 式中に無次元数であるヌセルト数のNuが存在します。これは別の無次元数を用いた経験式から計算します。ヌセルト数は条件によってさまざまな計算方法があります。今回は、乱流で主に使用されるコルバーンの式を示します。

図4 ヌセルト数の計算式 図4 ヌセルト数の計算式。Nu:ヌセルト数[-]、Re:レイノルズ数[-]、Pr:プラントル数[-]、ρ:密度[kg/m3]、v:流速[m/s]、D:代表長さ[m]、μ:粘度[Pa・s]、cp :定圧比熱[kJ/(K・kg)]、k:熱伝導率[W/(m・K)]

 伝熱は、運転中に付着するスケール(汚れ)による抵抗も影響します。伝熱係数なども含めた総括伝熱係数のUは次のように求められます。熱交換器では、高温流体と低温流体が金属の壁を隔てて流れています。そのため熱伝達係数のhは2種類あります。

 汚れ係数については各種伝熱工学書籍に参考値が載っています。おおよそ0.0001〜0.001程度です。高温側と低温側の汚れ係数どちらも足し合わせます。

図5 総括伝熱係数の計算式。 図5 総括伝熱係数の計算式。U:総括伝熱係数[W/(m2・K)]、h1:高温側の伝熱係数[W/(m2・K)]、tw:管壁の厚さ[m]、kw:管材の熱伝導率[W/(m・K)]、h2:低温側の伝熱係数[W/(m2・K)]、Rf:汚れ係数[(m2・K)/W]

 これまでに求めたQ、U、ΔTlmを用いて、熱交換に必要な伝熱面積のAを求めて計算は完了です。

図6 伝熱面積の計算式 図6 伝熱面積の計算式。A:伝熱面積[m2]、Q:伝熱量[W]、U:総括伝熱係数[W/(m2・K)]、ΔTlm:対数平均温度差[K]

 最後に、計算された伝熱面積を基に、実際の機器に落とし込むための設計作業を行います。限られたスペースの中で必要な面積を確保するために、管の長さ、径、本数、段数(パス数)などを調整します。

 また、流体の圧力損失が許容範囲内かを確認し、ポンプ動力や運転コストといった経済性も含めて総合評価を行います。必要に応じて、構造設計や流速の見直しを行い、最終設計を確定します。



まとめ

 熱交換器は、化学プラントをはじめとする多くの産業で欠かせない装置であり、その選定や設計には多くの知識と判断が求められます。本記事では、代表的な熱交換器の種類と特徴、さらに伝熱量や温度差、伝熱係数などを用いた基本的な伝熱計算の手順について解説しました。実際の設計においては、計算による合理性だけでなく、設置環境や運転条件、経済性までを含めた総合的な検討が重要です。(次回へ続く

⇒ 連載バックナンバーはこちら

筆者代表紹介

かねまる

プラント技術の解説サイト「ケムファク」を運営。大学院まで化学を専攻し、現在は化学メーカーの生産技術職に従事。


前のページへ 1|2       

Copyright © ITmedia, Inc. All Rights Reserved.

特別協賛PR
スポンサーからのお知らせPR
Pickup ContentsPR
Special SitePR
あなたにおすすめの記事PR