着想は「とろろ昆布」、水ではがせる海藻由来のバイオマス接着剤イノベーションのレシピ(2/2 ページ)

» 2026年04月17日 06時15分 公開
[安藤照乃MONOist]
前のページへ 1|2       

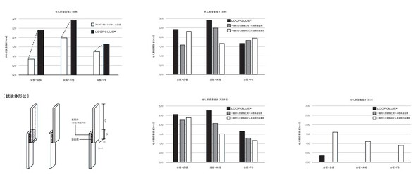
 現在特許を出願中であるため詳細な材料は非公開だが、セメダインの組成設計技術によりアルギン酸ナトリウムに他の自然由来材料を複合化させることで、自然由来材料100%を維持したまま、課題であった接着強度の向上に成功した。物性検証においては、通常状態と高温多湿状態(温度50℃/湿度85%)のどちらの条件下においても、一般的な接着剤と同等レベルの強度を実現した。また、半屋外環境下で半年間にわたり、LOOPGLUEを用いた造作物の経時変化を観察する試験を行ったが、湿気によるしわの発生や剥がれといったトラブルは発生しなかった。

物性検証の結果 物性検証の結果[クリックで拡大] 出所:博展、we+、セメダイン

資源調達費と製作人件費で15%削減見込み

 実環境における十分な接着力を確保した一方で、はがしやすさも特長だ。結合した状態から、水分を含ませることでアルギン酸ナトリウムの粘性が回復し、容易に剥離することが可能となる。説明会場で行われたデモンストレーションにおいても抵抗なくスムーズに剥がれ落ちる様子を披露した。素地の表面に残った接着剤の成分も、水で軽く拭き取るだけで除去することができる。素地である木工パネルが経年劣化やくぎ打ちで傷まない限り、リユース時にも新品同様の状態で使用可能だ。

水分を含ませてはがす様子 水分を含ませてはがす様子[クリックで拡大] 出所:博展

 なお、金属や樹脂などの非多孔質素材においては、接合面から空気が抜けず水分の揮発(乾燥)が進まないため、本質的にこの水系接着剤の適用は不適格であることも物性評価の中で証明した。

 博展は資源循環や環境配慮をテーマとした実際のイベント展示物に対し、クライアントの許諾を得た上でLOOPGLUEを試験的に導入してきた。鈴木氏によれば、「クライアントの反応は好評。サステナブル素材に対するニーズは年々増加している」という。

 博展は中期サステナビリティ目標として「2030年までに全ての体験や空間を資源循環型で作ること」を掲げている。今回のLOOPGLUE実用化を受け、博展は協力会社が施工を担う案件を除き、全体の約3割となる自社管理下で行う全ての表具工事においてLOOPGLUEを標準採用する方針である。木材の資材調達費と製作人件費はそれぞれ約15%削減できる見通しだ。

 現在、3社は特許を出願中であり、LOOPGLUEの活用を希望する他社への製品展開も積極的に進めていく構えである。鈴木氏は「LOOPGLUEはわれわれのみで独占するのではなく、より多くの方々に活用されることで、循環型経済の実現に向けた実践的な一歩となり、業界内外に新たな動きを生み出していくことを強く期待している」と展望を語った。

(左から)西村香菜氏、鈴木亮介氏、安藤北斗氏 (左から)西村香菜氏、鈴木亮介氏、安藤北斗氏[クリックで拡大]

⇒その他の「イノベーションのレシピ」の記事はこちら

前のページへ 1|2       

Copyright © ITmedia, Inc. All Rights Reserved.

特別協賛PR
スポンサーからのお知らせPR
Pickup ContentsPR
Special SitePR
あなたにおすすめの記事PR