少し冒険して、円管層流のヌセルト数を求めてみよう!CAE解析とExcelを使いながら冷却系設計を自分でやってみる(16)(1/5 ページ)

CAE解析とExcelを使いながら冷却系の設計を“自分でやってみる/できるようになる”ことを目指す連載。連載第16回は、少し冒険して、円管層流のヌセルト数を求めてみましょう。果たして、うまくいくでしょうか?

» 2025年09月24日 08時00分 公開

 今回は少し冒険してみます。円管層流のヌセルト数を求めてみましょう。できるでしょうか? あと、おまけも付けておきます。

⇒「連載バックナンバー」はこちら

円管層流のヌセルト数:解析モデル

 図1に、円形パイプ内を流れる流体を示します。

円形パイプ内を流れる流体 図1 円形パイプ内を流れる流体[クリックで拡大]

 図1左図のように、流体を2つの平面と2つの円筒面で分割します。すると、図1右図のように、厚さΔr、長さΔxの微小な円筒が出来上がります。この微小な円筒に注目します。

 図2に、微小円筒の断面を示します。

微小円筒の断面 図2 微小円筒の断面[クリックで拡大]

 半径rの位置の熱流束をq(r)、半径r+Δrの熱流束をq(r+Δr)とします。軸方向の位置xにおける温度をT(x,r)、T(x,r+Δr)、軸方向の位置x+Δxにおける温度をT(x+Δx,r)、T(x+Δx,r+Δr)とします。流速についても、軸方向の位置xにおける流速をu(x,r)、u(x,r+Δr)、軸方向の位置x+Δxにおける流速をu(x+Δx,r)、u(x+Δx,r+Δr)とします。

 熱収束の方向と半径方向を合わせるため、熱流束を上向きとしています。これは、流体から管に熱が移動することを意味します。逆に、管から流体に熱が移動する場合は、熱流束はマイナス値となります。

円管層流のヌセルト数:微分方程式の導出

 図3に、流入する面と熱が伝わる面の面積を示します。

圧力が作用する面とせん断応力が作用する面 図3 圧力が作用する面とせん断応力が作用する面[クリックで拡大]

 流速×面積=流量、熱流束×面積=熱の移動量となるので、微小円筒に流入する熱は式1で表されます。

式1 式1

 ここでいう「熱」という表現は正確ではなく、この式の第1項は「比熱×流量×密度×温度」を求めています。これは、0[degC]から温度T[degC]まで上昇させるのに必要な熱量、すなわち0[degC]を基準とした流体の持つ熱量です。体積変化のないエンタルピーのようなものと解釈できるため、便宜上「エンタルピー」と呼ぶことにします。

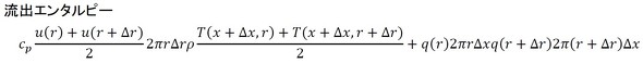
 出ていくエンタルピーは式2となります。

式2 式2[クリックで拡大]

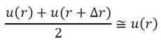
 以下は、平均流速を求めているのですが、変化分との引き算ではなく足し算なので、いずれ微小項の削除のところで変化分はなくなります。よって、次のように表します。

式3 式3
       1|2|3|4|5 次のページへ

Copyright © ITmedia, Inc. All Rights Reserved.

特別協賛PR
スポンサーからのお知らせPR
Pickup ContentsPR
Special SitePR
あなたにおすすめの記事PR