少し冒険して、円管層流のヌセルト数を求めてみよう!CAE解析とExcelを使いながら冷却系設計を自分でやってみる(16)(3/5 ページ)

» 2025年09月24日 08時00分 公開

微分方程式を解こう

 微分方程式の式16は導出できたものの、筆者の数学力ではこの解は分かりません。そこで、筆者お気に入りのExcel積分で探りを入れてみましょう。図4は、そのExcel積分シートです。

微分方程式を解くためのExcelシート 図4 微分方程式を解くためのExcelシート[クリックで拡大]

 半径方向座標を刻み幅Δrで分割し、Δrピッチで縦方向に並べます。r=0[m]の熱流束はゼロなので、その値を代入しておきます。i=iでの熱流束qiが求まったとき、次のqi+1を求めることが目標です。

 図示した式を使ってdq/drを計算し、微分方程式式16の各項を評価します。これらの総和を求めるセルを作成し、その合計がゼロになるように(つまり、方程式が成り立つように)、Excelのゴールシーク機能を使ってqi+1を求めます。この作業を、全てのrの位置で実行していきます。

 取りあえず、数値的に求まった熱流束と、その半径方向での微分をグラフにしてみました。図5に示します。

熱流束分布の曲線近似 図5 熱流束分布の曲線近似[クリックで拡大]

 続いて、Excelの近似曲線機能を使って近似式を求めます。熱流束qのグラフについては、多項式近似の次数が3のときにぴたりと一致しました。つまり、方程式の解はrの3次式で表されるようです。

 方程式の解として式17を仮定しましょう。rの3次式です。

式17 式17

 半径座標微分は式18となります。

式18 式18

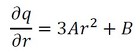
 式17式18を、式16に代入して整理すると、次のようになります。

式19 式19

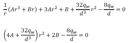
 これがどのようなrであっても成立するということは、r2の係数がゼロ、r0の係数がゼロでなければなりません。これらをゼロとした次式からAとBが求まります。

式20 式20
式21 式21

 少し自信がありませんが、方程式の解は次のようになるはずです。

式22 式22
式23 式23

 では、確認してみましょう。r=0のとき、q=0になるはずです。代入してみます。

式24 式24

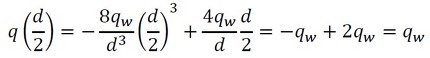
 確かにそうなりました。次に、r=d/2のとき、q=qwになるはずです。こちらも代入してみましょう。

式25 式25

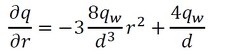
 おおっ、こちらも合っています。式16をあらためて見ると、第1項はrの割り算なので、q(r)のrの次数を1つ下げています。第2項は微分なので、やはり次数が1つ下がります。そして第3項はrの2次式、第4項は定数。つまり、式16の右辺は、rの3次式と1次式の和になっていることに、この時点でぱっと気付くべきでした。

温度分布を求める

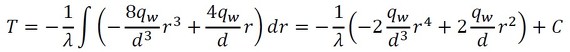
 フーリエの法則によれば、熱流束を積分したものが温度分布になります。

式26 式26

 上式に式21を代入して、計算を進めていきましょう。

式27 式27

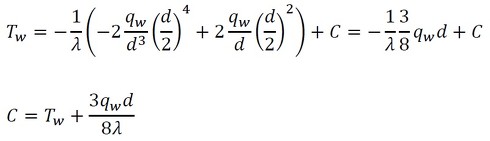
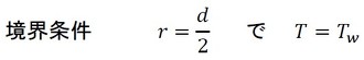
 次に、以下の境界条件を代入して積分定数を求めます。

式28 式28
式29 式29

 積分定数が求まりました。これを式27に代入しておきます。

式30 式30

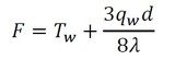
 後の計算を簡単にするために、定数Fを設定しました。

式31 式31

Copyright © ITmedia, Inc. All Rights Reserved.

特別協賛PR
スポンサーからのお知らせPR
Pickup ContentsPR
Special SitePR
あなたにおすすめの記事PR