少し冒険して、円管層流のヌセルト数を求めてみよう!CAE解析とExcelを使いながら冷却系設計を自分でやってみる(16)(4/5 ページ)

» 2025年09月24日 08時00分 公開

混合平均温度を求める

 ヌセルト数、熱伝達率、混合平均温度の関係を、以下に示します。

式32 式32
式33 式33

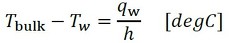
 図2では、熱流束は流体から管へ移動しています。よって、伝熱界面の温度差は式34となります。

式34 式34

 図6に、混合平均温度を求めるためのモデルを示します。

混合平均温度を求めるためのモデル 図6 混合平均温度を求めるためのモデル[クリックで拡大]

 温度分布は式27のように半径rの関数ですが、温度が半径方向に一定だと仮定したときの値が、混合平均温度ということになります。

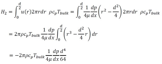
 x=xの断面を通過する流体が持つエンタルピーを考えます。図6左図同右図の断面は、同じエンタルピーを持っていると見なします。図6左図の断面を通過するエンタルピーは式35で表されます。

式35 式35

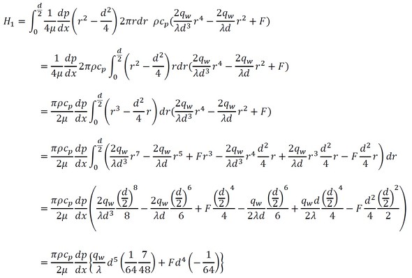
 それでは計算していきましょう。少し骨が折れます。

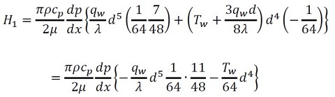
式36 式36[クリックで拡大]

 上記に式31を代入します。

式37 式37

 図6右図の断面を通過するエンタルピーは式38となります。

式38 式38

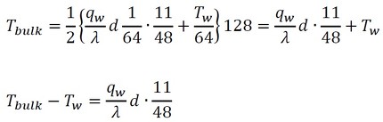
 2つのエンタルピーは等しいはずなので、次の式が成立します。

式39 式39
式40 式40

 さらに、上式を変形すると以下のようになります。

式41 式41

Copyright © ITmedia, Inc. All Rights Reserved.

特別協賛PR
スポンサーからのお知らせPR
Pickup ContentsPR
Special SitePR
あなたにおすすめの記事PR