少し冒険して、円管層流のヌセルト数を求めてみよう!CAE解析とExcelを使いながら冷却系設計を自分でやってみる(16)(2/5 ページ)

» 2025年09月24日 08時00分 公開

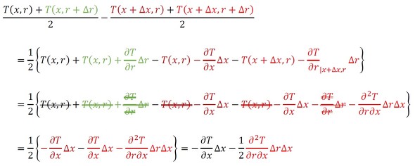
 流入エンタルピーと流出エンタルピーが等しいと仮定すると、式4が成り立ちます。

式4 式4[クリックで拡大]

 この式をさらに変形します。

式5 式5[クリックで拡大]

 かっこ内の項を計算します。以前、「頭にたたき込んでおいてください」と紹介した関係式をフル活用します。

式6 式6[クリックで拡大]

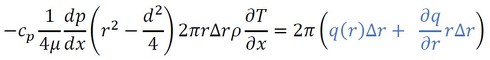
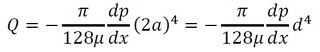
 続いて、式5の右辺を計算します。

式7 式7

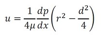
 円管層流の速度分布は連載第9回から式8でした。

式8 式8

 この式6式7式8を、式5に代入すると、次のようになります。

式9 式9[クリックで拡大]

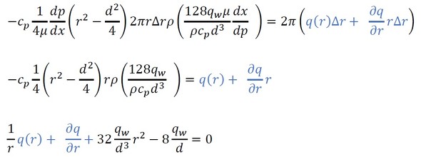
 ここで、高次の項を削除します。

式10 式10

 続いて、流体がΔxだけ進んだときの温度上昇を求めます。流体から壁面への熱の流出ΔWは、式11ですね。

式11 式11

 このとき、温度上昇ΔTは式12で求められます。なお、qwはプラス値で、ΔTはマイナス値になります。

式12 式12

 温度勾配は式13となります。

式13 式13

 連載第9回の式23は、以下でした(式14)。

式14 式14

 上式を式13に代入すると、次のようになります。

式15 式15

 さらに、上式を式10に代入すると、最終的に次の微分方程式が導かれます。

式16 式16

Copyright © ITmedia, Inc. All Rights Reserved.

特別協賛PR
スポンサーからのお知らせPR
Pickup ContentsPR
Special SitePR
あなたにおすすめの記事PR