配管流れの基本的な計算方法はじめての化学工学(5)(2/2 ページ)

» 2025年04月03日 10時00分 公開
[かねまるMONOist]
前のページへ 1|2       

レイノルズ数による層流と乱流の予測

 配管内の流れを考える時、レイノルズ数(Re)を用いて流れの状態を判断します。レイノルズ数は流れが層流か乱流かを予測する無次元量です。慣性力と粘性力の比はDuρ/μとして定義されます。

図4 レイノルズ数 図4 レイノルズ数。D:配管内径[m]、u:流速[m/s]、ρ:密度[kg/m3]、μ:粘度[Pa・s][クリックで拡大]

 一般に、Reが2100以下の場合は層流、4000以上の場合は乱流と見なされ、2100〜4000の範囲は遷移流として不安定な状態であるとされます。つまり層流においては粘性力が、乱流においては慣性力が流れを支配していることを意味します。

  • Re <= 2100(層流):流れ方向に対して平行で、乱れが少ない
  • 2100 < Re < 4000(遷移領域):層流と乱流の間で不安定に変動し、予測困難な挙動を示す
  • Re >= 4000(乱流):流れ方向に対して直行する流れや渦が生じる

圧力損失の考慮

 配管内を流れる流体には、大きく分けて2種類のエネルギー損失が生じます。損失エネルギーを圧力換算して圧力損失とも呼ばれます。1つ目は配管内壁との摩擦、2つ目は配管継手が引き起こす流れの乱れです。

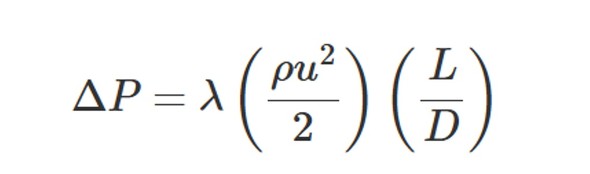
 1つ目の配管内壁との摩擦による圧力損失は、ファニングの式やダルシーワイズバッハの式を用いて計算できます。

図5 ファニングの式 図5 ファニングの式。ΔP:圧力損失[Pa]、f:管摩擦係数[-]、ρ:密度[kg/m3]、u:流速[m/s]、L:配管長さ[m]、D:配管内径[m][クリックで拡大]

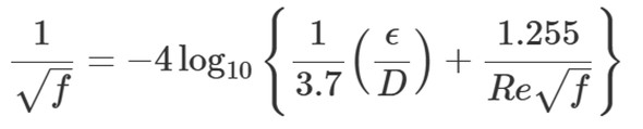
 式中に記載の管摩擦係数fは配管内壁の粗さやレイノルズ数によって変化する値です。層流においてはf=16/Reの式が成り立ちます。対して乱流域ははさまざまな式で表せます。特に用いられるのがコールブルックの式です。

図6 コールブルックの式 図6 コールブルックの式。f:管摩擦係数[-]、ε:配管粗さ[m]D:配管内径[m]、Re:レイノルズ数[-][クリックで拡大]

 その他にもブラウジウスの式、ニクラゼの式、プラントル・カルマンの式などがあります。計算から求める以外にも、レイノルズ数と相対粗度から管摩擦係数が簡単に分かるムーディー線図という図があります。化学工学会が発行している化学工学便覧の他、さまざまな参考書に記載されています。

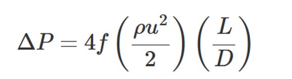
 ファニングの式における管摩擦係数を4fからλに表記を変えることでダルシーワイズバッハの式に変化します。つまり式の意味は同じです。

図7 ダルシーワイズバッハの式 図7 ダルシーワイズバッハの式。ΔP:圧力損失[Pa]、λ:管摩擦係数[-]、ρ:密度[kg/m3]、u:流速[m/s]、L:配管長さ[m]、D:配管内径[m][クリックで拡大]

 2つ目の配管継手が引き起こす流れの乱れは、配管継手(エルボ、ティー、バルブ、レジューサなど)の内部での渦発生などが原因です。この場合、係数nを用いてL=nDを計算することで、その損失量を直管の相当長に換算します。同じ継手が複数個ある場合は、その個数分だけ相当長を加算します。相当長でファニングの式やダルシーワイズバッハの式で計算します。

 例えば90度エルボは32、玉型弁(全開)は300です。こちらの値もムーディー線図と同様に、化学工学便覧の他、さまざまな参考書に記載されています。

 ベルヌーイの定理は外部からの仕事や圧力損失は考慮されていません。このため、圧力損失F、そしてポンプやブロワなどから加える仕事Wを補正項として加えることで実用的な計算が可能になります。

図8 ベルヌーイの定理の補正 図8 ベルヌーイの定理の補正[クリックで拡大]


まとめ

 今回は、化学プラントにおける配管設計の基礎として、配管内を流れる流体の挙動を計算する方法を紹介しました。連続の式とベルヌーイの定理を理解し、レイノルズ数によって流れの状態を把握することが重要です。

 また、配管設計においては、摩擦や配管継手による圧力損失を考慮する必要があります。これらの知識を踏まえて、適切な配管径やポンプの選定を行うことが、プロセス設計の第一歩になります。(次回へ続く

⇒ 連載バックナンバーはこちら

筆者代表紹介

かねまる

プラント技術の解説サイト「ケムファク」を運営。大学院まで化学を専攻し、現在は化学メーカーの生産技術職に従事。


前のページへ 1|2       

Copyright © ITmedia, Inc. All Rights Reserved.

特別協賛PR
スポンサーからのお知らせPR
Pickup ContentsPR
Special SitePR
あなたにおすすめの記事PR