これからの「ひとのモデリング」 〜“もの”も“ひと”も共通の表現式で〜1Dモデリングの勘所(45)(6/6 ページ)

» 2025年07月23日 06時00分 公開
前のページへ 1|2|3|4|5|6       

これからのひとのモデリング

 話は少し昔にさかのぼる。筆者が企業に在籍していたころ、スピーカーの研究に携わったことがある。そのときに、図15上部のようなことを考えていた。すなわち、“電気信号がスピーカーのアクチュエーターに入力され、それによって振動板が駆動し、振動板は周囲の空気を振動させ、振動した空気が圧力(音圧)を発生させる”のであれば、音圧がひとに刺激として伝わり、ひとの内部で感情へと変換されるのではないかという考えだ。

スピーカーのモデリング 図15 スピーカーのモデリング[クリックで拡大]

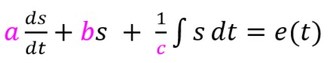
 最近、あらためてこの件について考えてみたところ、図15下部のような捉え方も可能ではないかと気付いた。すなわち、ひともものも次の式で共通的に表現される。

式4 式4

 これに従うと、電気/機構/音響/ひとの類似性は、図16のように示すことができる。

電気/機構/音響/ひとの類似性 図16 電気/機構/音響/ひとの類似性[クリックで拡大]

 ここでは、ひとを

式5 式5

で表現できるという前提で話を進める。そうすると、今までのひとのモデリングは、

式6 式6

の形式で表現されていることが分かる。しかし、実際には、ひとが電車に乗る際には、環境が大きく変化するため、微分形式でa ds/dt※1と表現される。また、乗車後しばらくの間は乗る前の環境の影響が残っているため、積分形式で1/c∫ s dt※2と表現されるはずである。

※1 ※1 正しい表記
※2 ※2 正しい表記

 問題は、abcをどのように定義するかである。これを定性的に示すと図17となるのではないか。いずれの場合も、現状ではひとに関してabcを原理原則から導くことは困難であるため、データドリブンのグレイボックスモデルとして定義することになる。

ひとのモデリングに関する仮説 図17 ひとのモデリングに関する仮説[クリックで拡大]

 以上の仮説を適用する手順について説明する。図18に、クレーン操作室の快適性評価を行った際のデータを示す。

クレーン操作室の快適性評価の事例 図18 クレーン操作室の快適性評価の事例[クリックで拡大]

 これは、クレーン操作中のオペレーターにかかる負荷を低減する方法を検討したものである。実機を用いることは現実的ではないため、操作レバーとオペレーター用の椅子は実機とし、操作レバーの信号を1Dモデルで作成したクレーンシミュレーターに入力し、その結果をリアルタイムで大型ディスプレイに表示して試験を行った。

 図18右図には、その際のオペレーターの視線情報、荷物の動き、操作レバーのON/OFF状態、オペレーターの頭部に装着した脳波計の出力の時間変化を示している。ここで、視線情報を入力、脳波計の信号(感情データに変換されている)を出力とし、パラメーターa、b、cを統計的に求めることができれば――つまり、仮説が正しければ――モデルとして定義可能になるはずである(現状、まだ試していないので今後の宿題としたい)。

今後のモデリングの姿

 今回は最終回ということで、ひとのモデリングに関しておさらいし、これを基に、これからのひとのモデリングの提案を行った。伝えたかったのは、ひともものも共通の表現式

ひともものも共通の表現式で表現できる

で表現できるということである。

 これは、世の中が“過去⇒現在⇒未来”と流れていることを考えれば、当然ともいえる。ひとばかりではなく、ものも全てがモデル化されているわけではない。また、渋滞などの社会現象にも、上式を適用できると考える。

 世の中には、まだ分かっていないことが多く存在する。これらはむやみに考えても解は導き出せない。だが、上記のような表現式になっていると仮定すれば、もしかすると糸口が見えてくるかもしれない。皆さんもチャレンジあれ!! (連載完)

⇒連載バックナンバーはこちら

筆者プロフィール:

大富浩一(https://1dcae.jp/profile/

1Dモデリングの方法と事例(日本機械学会)

日本機械学会 設計研究会
本研究会では、“ものづくりをもっと良いものへ”を目指して、種々の活動を行っている。1Dモデリングはその活動の一つである。


前のページへ 1|2|3|4|5|6       

Copyright © ITmedia, Inc. All Rights Reserved.

特別協賛PR
スポンサーからのお知らせPR
Pickup ContentsPR
Special SitePR
あなたにおすすめの記事PR