シリコンとアルミニウムを用いて高効率なスピントロニクス材料を開発研究開発の最前線

慶應義塾大学は、高効率で磁気トルクを生み出せるスピントロニクス材料を開発した。安価で安定的に入手が可能なシリコンとアルミニウムを用いてナノ傾斜構造で軌道渦を活用し、磁気トルクを生成する。

» 2025年05月26日 15時30分 公開
[MONOist]

 慶應義塾大学は2025年5月112日、高効率で磁気トルクを生み出せるスピントロニクス材料を開発したと発表した。物質・材料研究機構、中国科学院大学との共同研究による成果だ。

 開発した材料は、半導体であるシリコン(Si)と金属のアルミニウム(Al)が原子レベルで交互に堆積し、その成分比がナノメートルスケールで徐々に変化する「ナノ傾斜構造」を有している。研究グループは、この構造により局所的に強められた電子の回転運動である軌道渦を活用し、磁気トルクを生成できることを見いだした。

キャプション ナノ傾斜材料の(a)断面写真と、図(a)のz軸方向における(b)SiとAlの組成分布[クリックで拡大] 出所:慶應義塾大学

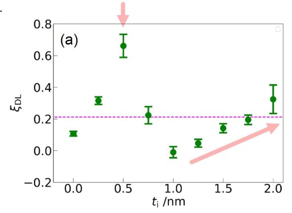
 組成傾斜の幅は交互堆積層の厚さによって制御でき、最適化することでスピントルク効率を高められる。実験では、従来材料であるプラチナ(Pt)を超える性能を達成した。さらに、材料の電気伝導性とスピントルク効率を掛け合わせた「性能指数」を評価した結果、プラチナを大きく上回ることが判明した。

キャプション ナノ傾斜材料のスピントルク効率(縦軸)と交互堆積層の厚さ(横軸)の関係。ピンク線はプラチナのスピントルク効率[クリックで拡大] 出所:慶應義塾大学
キャプション ナノ傾斜材料の性能指数。横軸が電気伝導率、縦軸がスピントルク効率[クリックで拡大] 出所:慶應義塾大学

 AI(人工知能)やIoT(モノのインターネット)化の普及に伴い、電子の持つスピンを使って効率的に情報を処理するスピントロニクス技術が注目されている。レアメタルのプラチナを使用せず、安価で安定的に入手が可能なシリコンとアルミニウムを用いてスピン流を生み出す技術により、低電力かつ高耐久な次世代メモリ素子などへの応用が期待される。

⇒その他の「研究開発の最前線」の記事はこちら

Copyright © ITmedia, Inc. All Rights Reserved.

特別協賛PR
スポンサーからのお知らせPR
Pickup ContentsPR
Special SitePR
あなたにおすすめの記事PR