円筒座標系の熱伝導について考えるCAE解析とExcelを使いながら冷却系設計を自分でやってみる(5)(2/4 ページ)

» 2025年04月15日 11時00分 公開

導体内部の温度分布

 解析モデルを「円筒状の絶縁被覆とお考えください」と述べましたが、今度は導体を考えます。導体は図3で示した内側半径r1がゼロの中実円筒(円柱)と考えることができます。導体内部の温度分布の計算では、前項のr1がここでは外径に等しくなるため、外径をrinnerと表記します。図4に解析モデルを示します。

円筒座標系の熱伝導の解析モデル 図4 円筒座標系の熱伝導の解析モデル[クリックで拡大]

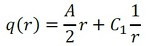
 導体内部の温度分布を求めましょう。マイナスのrの世界へ熱は移動できないため、r=0での熱の流れはゼロとなり、次式が成立します(式10)。

式10 式10

 熱流束は次式でした(式11)。

式11 式11

 式11にr=0を代入すると都合が悪くなります。よって、中実円筒の場合はC1=0となります。

 使うことのできる境界条件は、外周面の温度です。境界条件は以下です(式12)。

式12 式12

 C1=0と上式を式9に代入します(式13)。

式13 式13

 さらに、上式を式9に代入します(式14)。

式14 式14

 Tinnerは次に述べる被覆内の計算結果を使います。

被覆内部の温度分布

 微分方程式の解(式11)をそのまま使いますが、被覆内部では発熱はないとします。導体での全発熱量は式15で表されます。注意が必要なのは式15のAは導体側の単位体積当りの発生熱量です。

式15 式15

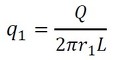
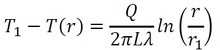
 図3の内周面(r=r1)での熱流束は次式となります(式16)。

式16 式16

 式16の関係を方程式の解である式11に代入します。式11のAは被覆側の発生熱量なのでゼロです。

式17 式17

 被覆内部の熱流束は式18となります。

式18 式18

 温度分布は次式となります(式19)。

式19 式19

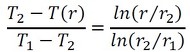
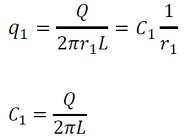
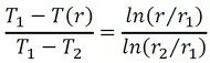
 境界条件を代入します。r=r1でT=T1、r=r2でT=T2ですね。

式20 式20
式21 式21

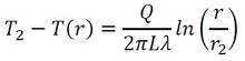
 式20から式21を引き算しましょう。

式22 式22
式23 式23

 上式は通過熱量と内周外周の温度差の関係式となり、参考文献[1]の式となりました。

 次に、式20から式19を引き算します。

式24 式24

 式24式22で割り算しましょう。

式25 式25

 式25も参考文献[1]に載っています。

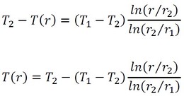
 熱伝達を含む伝熱計算は、主流の温度Tが与えられ、熱伝達率を見積もって伝熱界面温度(この場合はT2)を求めるのが定石なので、式25ではなくT2を使った式を作ります。式21から式19を引き算します(式26)。

式26 式26

 今度は式26式22で割り算しましょう(式27)。

式27 式27

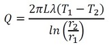
 式27式28のように変形します。

式28 式28

 式28のT1−T2式22の計算結果を代入することにし、被覆表面の温度T2は以下の式で求まります(式29式30)。

式29 式29
式30 式30

参考文献:

  • [1]日本機械学会|伝熱工学資料|改訂第4版|丸善(1999)

Copyright © ITmedia, Inc. All Rights Reserved.

特別協賛PR
スポンサーからのお知らせPR
Pickup ContentsPR
Special SitePR
あなたにおすすめの記事PR