円筒座標系の熱伝導について考えるCAE解析とExcelを使いながら冷却系設計を自分でやってみる(5)(1/4 ページ)

CAE解析とExcelを使いながら冷却系の設計を“自分でやってみる/できるようになる”ことを目指す連載。連載第5回は、円筒座標系の熱伝導方程式を解き、電線やダクトなど断面が円形のものの冷却系設計を考える。

» 2025年04月15日 11時00分 公開

 これまで固体内の熱伝導と伝熱界面の熱伝達について、紙と鉛筆で行う方法とCAE解析による方法を述べました。これでかなりのことはできると思います。一方、計算対象物の断面が円形のものも多いと思います。例えば、電線やダクトなどです。今回は円筒座標系の熱伝導方程式を解いて、断面が円形のものの冷却系の設計をしてみましょう。

⇒「連載バックナンバー」はこちら

直交座標系、円筒座標系、球面座標系

 3つの座標系を図1に示します。

3つの座標系 図1 3つの座標系[クリックで拡大]

 前回までは直交座標系でしたが、これからは円筒座標系を使うことが多くなります。半径方向座標はr、回転方向座標はθ、奥行き方向はzです。z方向座標は直交座標系と同じです。ここで述べる円筒座標系では、全て軸対称問題です。物理量がどのようなθ位置でも同じ値をとる問題を対象とします。物理量はrとzの関数となります。つまり、温度や熱流束はrとzの関数となり、流体解析になると流速はrの関数、圧力はzの関数となります。rはプラスの値しか持ちません。ということは、rがマイナスの世界に移動する熱はないはずです。

円筒座標系での温度分布

 今回の設計モチーフは、図2に示す電源につながれた導体(電線)としましょう。

電源につながれた導体 図2 電源につながれた導体[クリックで拡大]

 電流が多過ぎると導体が発熱して絶縁被覆が焦げたり、溶けたりします。導体と絶縁被覆の最高温度を求めましょう。絶縁被覆の最高温度が例えば60[degC]となるような電流値を逆算すれば、電線に何A(アンペア)まで流すことができるのかが分かります。

 図3に解析モデルを示します。円筒状の絶縁被覆とお考えください。

円筒座標系の熱伝導の解析モデル 図3 円筒座標系の熱伝導の解析モデル[クリックで拡大]

 外半径r2、内半径r1で、内周側から熱が侵入し、内周面の熱流束をq1とし、外周面から熱が放出され、その熱流束をq2とします。そして、内周面温度をT1、外周面温度をT2とします。

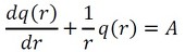
 半径rの位置の熱流束をq(r)、温度をT(r)とします。境界条件から温度と熱流束分布を求める問題となります。今、半径rと半径r+Δrに挟まれた領域の熱収支を考えます。奥行き寸法をLとすると、この領域は厚さΔrの筒となります。この筒の体積は2πrΔrLですね。

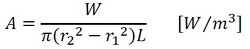
 この領域は自身で発熱しているとします。発熱量をW[W]とすると、単位体積当たりの発熱量は式1となります。

式1 式1

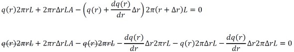
 熱収支は式2で表されます。

式2 式2

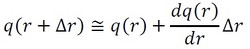
 q(r+Δr)は式3でした。連載第2回の式22です。もう頭にたたき込まれているでしょうか。

式3 式3

 式3式2に代入します(式4)。

式4 式4[クリックで拡大]

 最後の項は、Δが2つあるので高次の微小項になり削除します。式5となります。

式5 式5

 微分方程式になりました。1つの解として次式を仮定しましょう(式6)。

式6 式6

 B、C1は未知数です。式6式5に代入します。

式7 式7

 式6は方程式を満足することと、B=A/2とすればいいことが分かりました。C1は境界条件から求めましょう。

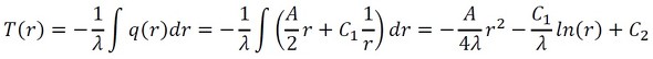
 温度分布を求めましょう。フーリエの法則は次式でした(式8)。

式8 式8

 温度分布は式9で表されます。C2は積分定数です。

式9 式9

 どの文献にも式8が書かれています。式8は正しいのですが、実は筆者は腑に落ちていません。円筒座標系は半径が大きくなればなるほど、熱の通過する面積が大きくなります。そうであれば、直交座標系と同じ形でよいはずはありません……。では、次に行きましょう。

       1|2|3|4 次のページへ

Copyright © ITmedia, Inc. All Rights Reserved.

特別協賛PR
スポンサーからのお知らせPR
Pickup ContentsPR
Special SitePR
あなたにおすすめの記事PR