ラグランジュの方程式(その2)〜ラグランジュの方程式の導出手順と適用例〜1Dモデリングの勘所(40)(3/5 ページ)

» 2025年02月18日 06時00分 公開

ラグランジュの方程式の適用例

 ラグランジュの方程式の適用例として、図2に示す質量m1,m2および質量のない剛体棒l1,l2からなる2重振り子の運動方程式を導くことにする。

2重振り子 図2 2重振り子[クリックで拡大]

 一般座標θ1,θ2を図のように取り、m1,m2の速度をv1,v2とする。v2はm1回りのm2の速度

とv1の合成されたものであるから、

式31 式31

となる。また、これから運動エネルギーは、

式32 式32

となり、位置エネルギー(静止状態をゼロとして)は、

式33 式33

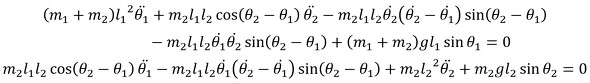
となる。以上を式23に代入すると、2重振り子の運動方程式が求まる。すなわち、

式34 式34[クリックで拡大]

から

式35 式35[クリックで拡大]

となる。前々回の回転2関節機構の運動方程式は、同様の手順で求めたものである。上式は大振幅振動にも適用できる非線形方程式であるが、微小振動の場合は線形化して下式となる。

式36 式36

Copyright © ITmedia, Inc. All Rights Reserved.

特別協賛PR
スポンサーからのお知らせPR
Pickup ContentsPR
Special SitePR
あなたにおすすめの記事PR