ダクトに巻く断熱材を設計するCAE解析とExcelを使いながら冷却系設計を自分でやってみる(18)(2/3 ページ)

» 2025年10月20日 07時00分 公開

Excelシートを作ろう

 では、Excelシートを作成しましょう。ここでの問題は、流体温度と主流の温度(離れた位置の室温)が与えられたときに、断熱材表面から放出される熱量と断熱材の表面温度を求めることです。表1に、問題の条件を示します。

問題の設定条件 表1 問題の設定条件[クリックで拡大]

 条件は2パターンあり、問題Aの流体温度は30[degC]、問題Bは50[degC]です。Excelシートの白いセルには数値が入力され、着色したセルには計算式が入力されています。

 次に、空気の物性値のセルを入力します(表2)。これらは全て主流の温度の関数としています。

空気の物性値 表2 空気の物性値[クリックで拡大]

 表3は、式12および式14で示した方程式を解くセルです。

式11、式13で表した方程式を解くセル 表3 式11、式13で表した方程式を解くセル[クリックで拡大]

 未知数であるT2−Tには、あらかじめ適当な数値を代入しておきます。式12および式14の左辺と右辺を求め、オレンジ色のセルでその差を計算します。図3に示すように、Excelのゴールシーク機能を使って、左辺と右辺の差がゼロになるような未知数の値を求めます。

ゴールシーク機能で方程式を解く方法 図3 ゴールシーク機能で方程式を解く方法[クリックで拡大]

 22行目の「レーレー数 判定」では、式4を使うか式5を使うかを判定しています。D列は式4を使っているため式12の方程式を解いています。E列は式5を使っているので式14の方程式を解いています。レーレー数の値によって、使用する列が異なります。

 最後に、表4に示すように、断熱材外表面の温度T2、熱伝達率h、通過熱量Qが求まります。表1で全長Lを入力しているため、Qは長さL[m]当たりの断熱材表面から自然対流で放出される熱量です。Qは式15で求めています。

計算結果 表4 計算結果[クリックで拡大]
式15 式15

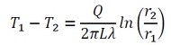
 「検算」とある部分では、通過熱量から断熱材外表面の熱流束と断熱材内側との温度差(T1−T2)を求めています。この温度差は、式16で計算しています。表4の上から2行目の値と、最下行の値が一致していればOKです。

式16 式16

 このシートの使い方を説明します。1つ目のケースは、流体温度が30[degC]、主流の温度(室温)が25[degC]で、厚さ0.05[m]の断熱材を巻いた場合です。断熱材の厚さは、(断熱材外径−断熱材内径)/2で計算できます。断熱材の熱伝導率は0.034[W/m.K]としました。このとき、断熱材の外側表面温度は26.4[degC]、熱通過量はダクト長1[m]当たり1.919[W]となります。

 2つ目のケースは、流体温度が50[degC]の場合です。レーレー数が大きくなったため、使用する式は式5に変わります。この場合、断熱材の外側表面の温度は30.3[degC]、熱通過量はダクト長1[m]当たり10.401[W]となります。

 実際の設計の場面では、流体温度がさらに高くなることも多いため、断熱材の内径、外径、熱伝導率を変えて計算し、断熱材の外側表面の温度が所定の目標値以下になるように断熱材の外径を決定する必要があります。

 表5に、各セルの内容を示します。

ダクトの断熱材設計計算シートのセルの内容 表5 ダクトの断熱材設計計算シートのセルの内容[クリックで拡大]

 断熱材表面温度を目標温度以下にしたい場合は、断熱材の厚さや熱伝導率を調整する必要があります。何度か繰り返し計算を行うことになるため、図4のように列をコピーして、パラメーターサーベイを実施してください。

列のコピー 図4 列のコピー[クリックで拡大]

Copyright © ITmedia, Inc. All Rights Reserved.

特別協賛PR
スポンサーからのお知らせPR
Pickup ContentsPR
Special SitePR
あなたにおすすめの記事PR