基本中のキホン「熱伝導」をおさらいするCAE解析とExcelを使いながら冷却系設計を自分でやってみる(2)(2/4 ページ)

» 2025年02月12日 09時00分 公開

フーリエの法則

 次に、熱伝導の法則である「フーリエの法則(Fourier's law)」を説明します。図3は左右対称なので、これからは右半分だけを考えます。図4に右側の固体と固体内部の温度分布を示します。

右側の固体と固体内部の温度分布 図4 右側の固体と固体内部の温度分布[クリックで拡大]

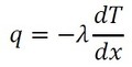
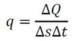
 このとき、固体内部の小さな平面を考え、そこを短い時間Δt[s]の間に通過する熱量をΔQ[J]とします。小さな平面の面積をΔs[m2]、温度分布を座標xの関数T(x)とすると、これらには以下の関係があります。これがフーリエの法則です。

式6 式6

 参考文献[1]では、式6の微分記号は偏微分記号ですが、1次元問題なので普通の微分記号としました。単位時間(1[s]です)に通過する熱量は、ΔQをΔtで割ったもので、また、単位面積、単位時間当たりに通過する熱量は、ΔQをΔsΔtで割ったもので、これが熱流束qです。式で表すと以下となります(式7)。

式7 式7

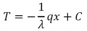
 式7式6に代入すると、式8となります。こちらの方が分かりやすいですね。

式8 式8

 式8にマイナス(−)があるのは温度勾配dT/dxがマイナスのとき、−dT/dxはプラス、つまり熱流束はプラス値となります。温度勾配がマイナスということは温度が下がっていく方向で、その方向に熱が流れるということです。

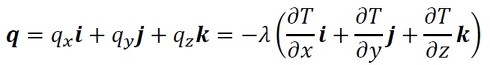
 フーリエの法則の3次元版は熱流束qがベクトル量となり、次式のように表すことができます。ベクトル量は太字で表記します。

式9 式9
式10 式10

 grad Tは「スカラー場Tの勾配」を表しています。はハミルトン演算子でベクトル量です(参考文献[2])。以降の連載の中で、2と表記した演算子が登場しますが、これは2つの同士の内積です。

参考文献:

  • [1]日本機械学会|機械工学便覧 A6 熱工学(S61)
  • [2]矢野健太郎|解析学概論|裳華房(S53)

固体内部の温度分布

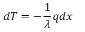
 では、固体内部の温度分布を求めましょう。固体の断面積Asは一定値なので、左側の流入熱流束qsと右側の流出熱流束qwは等しく、熱流束qをxの関数としたくても関数ではなく一定値となり、式5でした。では、式8を変形して積分しましょう。

式11 式11
式12 式12

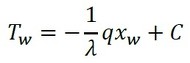
 積分定数Cは、境界条件(x=xwでT=Tw)から求めます。この条件を式12に代入すると、積分定数Cが求まります。以下です。

式13 式13
式14 式14

 式14式12に代入します。ついでに、式5も代入します。

式15 式15

 Twは未知数なのですが、いずれ熱伝達を説明する際に流体温度から求まります。式15はxの1次式ですね。そういうわけで、図4の温度分布を直線状にしました。

Copyright © ITmedia, Inc. All Rights Reserved.

特別協賛PR
スポンサーからのお知らせPR
Pickup ContentsPR
Special SitePR
あなたにおすすめの記事PR