ホローコンダクターを使ったコイルの冷却設計CAE解析とExcelを使いながら冷却系設計を自分でやってみる(15)(2/4 ページ)

» 2025年09月09日 07時00分 公開

 レイノルズ数およびヌセルト数は、以下の式で求めます。レイノルズ数が2300[-]より小さければ層流、2300[-]より大きければ乱流とします。

式11 式11

 ヌセルト数は次の式を使います。

式12 式12
式13 式13[クリックで拡大]

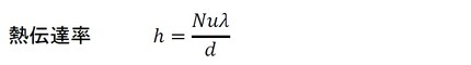
 熱伝達率と伝熱界面温度差は以下の式で求めます。これにより、伝熱界面温度が算出されます。

式14 式14
式15 式15

 次に、圧力損失を求めます。層流時の圧力損失係数は式16によって算出します。

式16 式16

 乱流時の圧力損失係数は、式17がゼロとなるよう、Excelのゴールシーク機能を使用して求めます。図5のようなイメージです。

式17 式17
ゴールシーク機能を使った管摩擦係数の計算 図5 ゴールシーク機能を使った管摩擦係数の計算[クリックで拡大]

 これは連載第12回で紹介した、Moody線図の滑らかな管の式です。筆者はホローコンダクターの圧力損失データを持ち合わせており、おおよそ滑らかな管の式でいいようです。

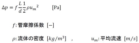
 圧力損失は、式18で求めます。

式18 式18

 導体内部の温度分布は、前回紹介した式19を用います。

式19 式19[クリックで拡大]

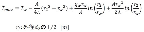
 導体内の最高温度は式20で算出され、絶縁材の温度もこれと同じになります。

式20 式20

Copyright © ITmedia, Inc. All Rights Reserved.

特別協賛PR
スポンサーからのお知らせPR
Pickup ContentsPR
Special SitePR
あなたにおすすめの記事PR