ホローコンダクターを使ったコイルの冷却設計CAE解析とExcelを使いながら冷却系設計を自分でやってみる(15)(1/4 ページ)

CAE解析とExcelを使いながら冷却系の設計を“自分でやってみる/できるようになる”ことを目指す連載。連載第15回は、ホローコンダクターを使ったコイルの冷却設計計算Excelシートの作成に取り組む。

» 2025年09月09日 07時00分 公開

 ホローコンダクターを使ったコイルの冷却設計計算Excelシートを作成しましょう。

⇒「連載バックナンバー」はこちら

コイルの冷却設計:仕様の立案

 ここでの目標は、図1に示したホローコンダクターを用いたコイルの設計計算Excelシートを作ることです。まずは仕様を決めていきましょう。ホローコンダクターは電流を流すため、一般的には銅で作られています。

ホローコンダクターを使ったコイル 図1 ホローコンダクターを使ったコイル[クリックで拡大]

 図2に示す3種類のコンダクターを検討します。設計における制約は、「絶縁材の温度が耐熱温度よりも低くなること」です。その条件を満たすための水の流量と入り口圧力を求めることになります。なお、絶縁材自体は発熱しないため、絶縁材の最高温度はコンダクターの最高温度と等しくなります。

コンダクター断面 図2 コンダクター断面[クリックで拡大]

 図3に設計仕様を示します。コイルは直線状に伸ばし、その長さをLとします。入り口の流速をum、温度をTin、圧力をPinとし、出口の圧力をPoutとします。出口温度は混合平均温度Tbulkとなります。圧力損失ΔPは、入り口と出口の圧力差(Pin−Pout)で定義されます。

設計仕様 図3 設計仕様[クリックで拡大]

 例えば、表1のような数値としましょう。400[A]という、とんでもない電流を流します。表に示す想定使用温度は、銅の比抵抗や水の物性値が温度によって変化するため、事前に温度を仮定しておく必要があります。実際に温度を求めた後、その値と想定使用温度を比較し、差が大きければ想定温度を見直して計算をやり直します。

設計仕様 表1 設計仕様[クリックで拡大]

コイルの冷却設計

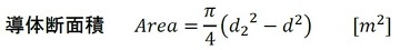
 いよいよ設計計算Excelシートを作成します。ここでは、図2左側のホローコンダクターの場合を考えます。導体の断面積および体積は、次式で求めます。

式1 式1
式2 式2

 コイルの抵抗を求めましょう。銅の比抵抗は温度によって変化するため、式3を用います(参考文献[1])。

式3 式3

 コイルの抵抗は、式4によって求まります。

式4 式4

 発生熱量および単位体積当たりの発生熱量は、以下の式で表されます。

式5 式5
式6 式6

 流路内壁の面積および熱流束は、次の式となります。

式7 式7
式8 式8

 水の物性値(密度、定圧比熱、粘性係数、動粘性係数、熱伝導率、プラントル数)は水温によって変化するため、例えば図4のように多項式近似した値を設計計算Excelシートに入力します。

水の動粘性係数 図4 水の動粘性係数[クリックで拡大]

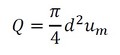
 体積流量は式9で求めます。

式9 式9

 混合平均温度は式10により算出されます。得られた混合平均温度が、当初の想定使用温度と懸け離れていた場合は、想定使用温度をこの値(ここで計算した混合平均温度の値)に更新して計算をやり直します。

式10 式10
       1|2|3|4 次のページへ

Copyright © ITmedia, Inc. All Rights Reserved.

特別協賛PR
スポンサーからのお知らせPR
Pickup ContentsPR
Special SitePR
あなたにおすすめの記事PR