共振はなぜ起きる? ばね−マス系と伝達関数で考える冴えない機械の救いかた(2)(4/4 ページ)

» 2026年03月10日 07時00分 公開
前のページへ 1|2|3|4       

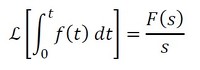
 次に、3番目の方法で微分方程式を解きます。すなわち、伝達関数を求めます。ラプラス変換という手法を用います(参考文献[1])。

 筆者は、ラプラス変換の数学的な意味をしっかり理解しているわけではなく、単に微分方程式を解くための道具として捉えています。

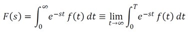
 関数f(x)のラプラス変換は、式24で表されます。

式24 式24

 記号L[ ]は「ラプラス変換する」という意味です。F(s)はラプラス変換後の関数、sは変数です。変数tは時間と考えてください。なお、sは複素数です。

 ラプラス変換は、式25で定義されます。

式25 式25

 式25を自分で計算する機会はなく、ラプラス変換表なるものがあり、さまざまな演算子(微分や積分)や関数のラプラス変換がまとめられています。ここでは、その表から引用します。

 今回用いるのは微分のラプラス変換だけで、式26です。

式26 式26

 式26の第2項は無視しましょう。ついでに、積分のラプラス変換は式27の通りです。

式27 式27

 ラプラス変換の使い方ですが、まず微分方程式をラプラス変換して、F(s)で構成される式にします。このとき、sは単なる変数として扱います。

 次に、F(s)=∑(sの関数)の形に変形し、項ごとにラプラス変換表から元のf(t)を探します。各項を逆変換して足し合わせたもの(和)が、微分方程式の解になります。

 今回はこの方法ではなく、もっと楽な方法でばね−マス系の伝達関数を求めます。

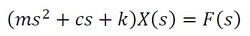
 運動方程式(式16)を再掲します。

式16(再掲) 式16(再掲)

 これをラプラス変換すると、次式になります。式16のxは、そのラプラス変換をX(s)と表記し、Fsin(ωt)はF(s)と表記します。

 左辺第1項は時間tの2階微分なのでs2となり、左辺第2項は時間tの1階微分なのでsとなります。

 ラプラス変換の結果は、式28となります。

式28 式28

 伝達関数は「結果を入力で割ったもの」なので、「変位/力」となります。よって、式29で表されます。

式29 式29

 ここで「チョー簡単な方法」があります。sにjωを代入すれば、伝達関数が求まります。

 なお、jは複素数で、通常はiで表記します。(これは筆者の推測ですが)、電気工学の分野では電流をiで表すことが多く、電流の時刻歴応答の計算や自動制御の講義でラプラス変換を用いるため、複素数としてiを使うと混同する恐れがあります。そのため、代わりにjを用いるのだと思っています。

 量子力学の本で、質量mと磁気量子数mが同じ記号で、「前後の文脈から読み取っていただきたい」と書いてある例もありますが、ここではjを用いることにします。

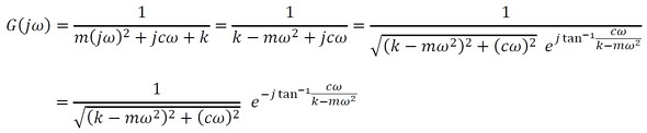
 sにjωを代入すると、伝達関数は次式で表されます。

式30 式30[クリックで拡大]
式31 式31[クリックで拡大]

 式23と同じ形になりました。微分記号を変数sに置き換え、式の変形だけで伝達関数が求まりました。「チョー簡単」でしたね。

 ラプラス変換を持ち出したことは、読者にとっては少し迷惑だったかもしれません。ただ、シリーズ後半に登場する振動絶縁の話では、ラプラス変換を使わせていただきます。

伝達関数の最大値

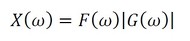
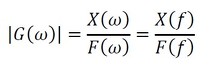
 伝達関数について少し説明します。伝達関数は「結果を入力で割ったもの」でした。式で表すと、式32となります。

式32 式32

 式22において、Xは質量mの変位振幅、Fは外力の振幅でした。これを伝達関数として表すと、式33となります。fは周波数です。

式33 式33

 式を変形します。

式34 式34

 上式は、少なくとも本シリーズでは非常に重要な式です。ぜひ、頭にたたき込んでおいてください。

 結果X(ω)は、振動変位、振動速度、振動加速度、あるいは音圧の振幅を表します。入力F(ω)は、振動や音を発生させる力です。結果は、入力と伝達関数の積です。

 以下が重要ポイントになります。

結果は入力と伝達関数の積であり、伝達関数が最大となる角振動数ないしは周波数が共振周波数であり、これを固有振動数と呼ぶ

 式23に数値を代入してグラフで表してみましょう。数値は以下の通りで、結果を図12に示します。

  • m=1[kg]
  • c=20[N/(m/s)
  • k=10000、20000、40000[N/m]
ばね−マス系の伝達関数 図12 ばね−マス系の伝達関数[クリックで拡大]

 k=10000[N/m]のグラフ(青色)に注目します。およそ100[rad/s](16[Hz])付近で最大値となっています。このばね−マス系の共振周波数は約16[Hz]です。外力の周波数がこの値と一致すると共振状態となり、質量mは大きく振動することになります。

 以上、ばね−マス系の共振状態について説明しました。今回はこの辺にしておきます。次回は、直動パーツフィーダで問題が出るか出ないかの理由、そしてその背景が糸魚川にあった理由について述べます。お楽しみに! (次回へ続く)

参考文献:


⇒「連載バックナンバー」はこちら

Profile

高橋 良一(たかはし りょういち)
RTデザインラボ 代表

1961年生まれ。技術士(機械部門)、計算力学技術者 上級アナリスト、米MIT Francis Bitter Magnet Laboratory 元研究員。

構造・熱流体系のCAE専門家と機械設計者の両面を持つエンジニア。約40年間、大手電機メーカーにて医用画像診断装置(MRI装置)の電磁振動・騒音の解析、測定、低減設計、二次電池製造ラインの静音化、液晶パネル製造装置の設計、CTスキャナー用X線発生管の設計、超音波溶接機の振動解析と疲労寿命予測、超電導磁石の電磁振動に対する疲労強度評価、メカトロニクス機器の数値シミュレーションの実用化などに従事。現在RTデザインラボにて、受託CAE解析、設計者解析の導入コンサルティングを手掛けている。⇒ RTデザインラボ


前のページへ 1|2|3|4       

Copyright © ITmedia, Inc. All Rights Reserved.

特別協賛PR
スポンサーからのお知らせPR
Pickup ContentsPR
Special SitePR
あなたにおすすめの記事PR