直動パーツフィーダー不具合をばね−マス系で読み解く冴えない機械の救いかた(3)(1/4 ページ)

本連載「冴えない機械の救いかた」では、メカ設計の失敗事例を題材に、CAE解析や計測技術を用いて、不具合の発生メカニズムとその対策を解説していく。第3回は、同一設計にもかかわらず性能にばらつきが生じる直動パーツフィーダーの不具合を取り上げ、ばね−マス系と伝達関数の考え方から原因と対策の方向性を整理する。

» 2026年04月14日 06時00分 公開

 前回、「ばね−マス系」の説明を途中で打ち切ってしまいました。今回はその続きと、「直動パーツフィーダー問題」と「糸魚川であった理由」を関連付けて説明します。

あと少し変数を追加します

 ばね−マス系を質量m、比例粘性係数c、ばね定数kだけで表現してもいいのですが、あと少し変数を追加します。

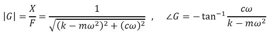
 式1に伝達関数を再掲します。

式1 式1

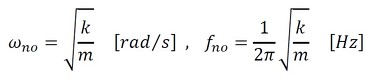
 ここに、臨界減衰c0、減衰比ζ(ギリシャ文字の「ツェータ」です)、無減衰固有角振動数ωn0の3つの変数を追加します。これらは次式で定義されます。無減衰固有角振動数は振動数fnoでも表現できますね。

式2 式2
式3 式3
式4 式4

 臨界減衰c0の意味を説明します。ばね−マス系のばねを引っ張って、ぱっと離します。するとマスmは「ビョョョョ、ヨ〜ン」と振動します。図1左図の状態です。今、減衰が非常に大きいとします。するとマスmは「ビョョ」とも言わず、ばねの復元力で元の位置に戻ろうとします。図1右図の状態です。

比例粘性係数を変化させたときのばね−マス系の挙動 図1 比例粘性係数を変化させたときのばね−マス系の挙動[クリックで拡大]

 臨界減衰c0は、図1左図になるか図1右図になるかの境目となる比例粘性係数のことです。そして減衰比ζは、減衰係数cをそれで割ったもので、無次元数(単位なし)です。

 どうしてこんなややこしい減衰比ζを持ち出したかというと、振動対策商品として減衰材料が売られているからです。このカタログには比例粘性係数cの値は載っていません。掲載されているのは損失係数η(ギリシャ文字の「イータ」です)です。式5の関係があります。

式5 式5

 損失係数ηを見て減衰材料を選ぶことになりますが、その値はだいたい0.2〜0.5[-]くらいです。実務では、減衰材料の種類と板厚を選ぶことになります。

 無減衰固有角振動数(無減衰固有振動数)を説明します。共振角振動数は√k/mだとご存じの方も多いと思います。これのことです。2πで割ると共振周波数になります。

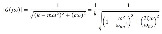
伝達関数が最大となるときの振幅と周波数

 式2式3式4を使って式1を変形すると、式6となります。では、伝達関数が最大となるときの振幅と周波数を求めましょう。この伝達関数に入力を掛け算すると、共振状態の振幅が分かります。

式6 式6

 伝達関数の最大値は、式6をクソマジメに微分する必要はなく、分母のルート内が最小となる角振動数を計算すればいいですね。式7です。

式7 式7

 伝達関数が最大となるときの角振動数は、√k/mから少しずれますが、あまりずれないので、√k/mが共振点だとして検討を進めてもよいと思います。

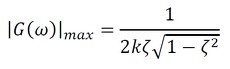
 式7式6に代入すると、伝達関数の最大値が求まります。式8となります。

式8 式8

 分母にkがあることに注目してください。自身で「Excel」を使って伝達関数のグラフを作ることをお勧めします。図2に伝達関数を示します。ζ=0.1[-]です。

ばね定数を変化させたときのばね−マス系の伝達関数 図2 ばね定数を変化させたときのばね−マス系の伝達関数[クリックで拡大]

 ばね定数を大きくすると、共振点が高周波数側に移動することが分かります。伝達関数の絶対値は、共振点のところで大小が逆転しますが、全体として見ると、ばね定数を大きくすると、共振状態であっても、その近くであっても、また共振状態でなくても、伝達関数の絶対値は小さくなります。

 本連載の中で、いずれ以下のことを筆者が主張しますが、これがその理由です。

振動対策のうち、メカ設計の変更は、ばね定数を上げるのが万能策

 では、比例粘性係数を変えてグラフを描いてみましょう。比例粘性係数の代わりに、減衰比ζで表現します。図3に示します。

減衰比を変化させたときのばね−マス系の伝達関数 図3 減衰比を変化させたときのばね−マス系の伝達関数[クリックで拡大]

 減衰を大きくすると、共振点の伝達関数は劇的に小さくなります。しかし、角振動数が50[rad/s]のところの伝達関数に注目します。紫色の線です。青色グラフとオレンジ色グラフ、灰色グラフの大きさはほとんど変わっていません。

 つまり、共振点以外では、振動対策として制振材を使っても振動低減効果はあまり期待できないことになります。このことも覚えておいてほしいところです。「ググって適当な制振材を買ってきて機械に貼り付けても効果はない」ということです。

 共振周波数は、減衰を大きくすると低周波側に移動しますが、その変化は微々たるものであることも分かります。

       1|2|3|4 次のページへ

Copyright © ITmedia, Inc. All Rights Reserved.

特別協賛PR
スポンサーからのお知らせPR
Pickup ContentsPR
Special SitePR
あなたにおすすめの記事PR