ヒートシンクを設計しよう!:CAE解析とExcelを使いながら冷却系設計を自分でやってみる(3)(4/4 ページ)
CAE解析とExcelを使いながら冷却系の設計を“自分でやってみる/できるようになる”ことを目指す連載。連載第3回では、「熱伝達」についておさらいし、ヒートシンクの設計に着手する。
図11のようなモデルを考えます。2つの固体の間にもう1つの固体があって、それらはロウ付けで固着しているとします。ロウ付けなので真実接触面積と見かけの面積は等しくなります。また、中間の固体の熱伝導率をλmとします。図11のモデルが図10のモデルと全く同じ熱的挙動をする条件での中間の固体の厚さlを求めましょう。
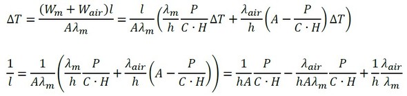
通過する全熱量はWm+Wairですね。図11の温度差は次式で表されます(式17)。
式17に式15と式16を代入し、変形していきます(式18)。
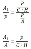
図10の見かけの圧力は「荷重÷面積」ですね。次式です(式19)。
式19を式18に代入します(式20)。
図10において、熱流束は真実接触部の方が空気による量よりはるかに大きそうですね。ということは、図12に示すように熱流束の集中があります。フーリエの法則から「熱流束の大きいところは温度差大」となります。また、トライボロジーの観点から金属表面には汚れ、吸着分子、酸化膜などがあり、金属原子が露出していることはあり得ません。真実接触部には熱流束の集中と金属原子が露出していないことから、温度差は見積もりよりも大きくなると考えられます。その補正をします。
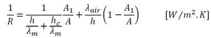
修正量として間隔hを大きくし、次式とします(式21)。実験結果から、hcはhと同程度か10倍ぐらいだそうです(参考文献[1])。
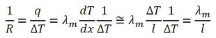
以上で参考文献[1]の式の導出ができました。もう少し分かりやすくしましょう。フーリエの法則を使って式7を変形します(式22)。
式22に式21を代入します(式23)。
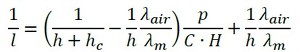
式9を式19で割ります(式24)。
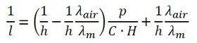
式24を式23に代入します(式25)。
接触抵抗の逆数は熱伝達率と同じ次元となります。見かけの接触面積Aと比べて真実接触面積A1ははるかに小さいので、式25は第2項が支配的になるのでしょうか。次回はExcelシートを作り直して、CAE解析モデルに接触抵抗を反映させましょう。 (次回へ続く)
[補足]学会論文の計算式の引用について
参考文献[1]に記載の式(4)の「P」ですが、大文字の「P」ではなく小文字の「p」ですね。誤植です。次の式(5)で小文字の「p」になっているので事なきを得ました。
手書き原稿から活字にして印刷していた当時の論文には計算式の誤植がたまにあります。文章のチェックはそれに長けた方がされているので「てにをは」などは完璧なものですが、文章チェックをされた方が数式にも長けている保証はないように思っています。いくつかの論文を読んでいると、文章のミスを見つけたことはありませんが、数式の誤植はたまに見掛けます。添字などに多いようです。
以上の事情から、活字論文の数式をそのまま使うことはしません。引用関係のない論文や文献を探してウラを取るか、今回のように自身で導出することを習慣にしております。活字論文の数式にはご注意ください。
Profile
高橋 良一(たかはし りょういち)
RTデザインラボ 代表
1961年生まれ。技術士(機械部門)、計算力学技術者 上級アナリスト、米MIT Francis Bitter Magnet Laboratory 元研究員。
構造・熱流体系のCAE専門家と機械設計者の両面を持つエンジニア。約40年間、大手電機メーカーにて医用画像診断装置(MRI装置)の電磁振動・騒音の解析、測定、低減設計、二次電池製造ラインの静音化、液晶パネル製造装置の設計、CTスキャナー用X線発生管の設計、超音波溶接機の振動解析と疲労寿命予測、超電導磁石の電磁振動に対する疲労強度評価、メカトロニクス機器の数値シミュレーションの実用化などに従事。現在RTデザインラボにて、受託CAE解析、設計者解析の導入コンサルティングを手掛けている。⇒ RTデザインラボ
Copyright © ITmedia, Inc. All Rights Reserved.
関連記事
ストップ! 外注丸投げ――CAE解析や冷却系の設計を自分でやれるようになろう
CAE解析とExcelを使いながら冷却系の設計を“自分でやってみる/できるようになる”ことを目指す連載。連載第1回では、冷却系設計に関する題材をいくつか紹介し、本連載で取り上げるトピックスについて整理する。
CAEソフトに仕掛けられたトラップ
金属疲労を起こした際にかかる対策コストは膨大なものになる。連載「CAEを正しく使い疲労強度計算と有機的につなげる」では、CAEを正しく使いこなし、その解析結果から疲労破壊の有無を予測するアプローチを解説する。第1回のテーマは「CAEソフトに仕掛けられたトラップ」だ。
連載「CAEを正しく使い疲労強度計算と有機的につなげる」の内容と有限要素法
金属疲労を起こした際にかかる対策コストは膨大なものになる。連載「CAEを正しく使い疲労強度計算と有機的につなげる」では、CAEを正しく使いこなし、その解析結果から疲労破壊の有無を予測するアプローチを解説する。連載第2回では本連載の「あらすじ」と「有限要素法」について取り上げる。
解析専任者に連絡する前に、設計者がやるべきこと
連載「CAEと計測技術を使った振動・騒音対策」では、“解析専任者に連絡する前に、設計者がやるべきこと”を主眼に、CAEと計測技術を用いた機械の振動対策と騒音対策の考え方や、その手順について詳しく解説する。連載第1回では、本連載の趣旨、振動対策や騒音対策が必要となる場面などについて取り上げる。
設計者なら一度はやってみたい形状最適化、お金をかけずにどこまでできる?
原理原則を押さえていれば、高額なソフトウェアを用意せずとも「パラメトリック最適化」「トポロジー最適化」「領域最適化」といった“形状最適化”手法を試すことができる! 本連載ではフリーのFEM(有限要素法)ソフトウェア「LISA」と「Excel」のマクロプログラムを用いた形状最適化にチャレンジする。
その設計、そのボルトと本数で大丈夫?
部品の固定(締結)のために使用する“ボルトの設計”をテーマに、設計者向けCAE環境を用いて、必要とされる適切なボルトの呼び径と本数を決める方法を解説する。また、連載の中で、ボルト締結の基礎である締め付けトルクと軸力の関係や、締め付けトルクの決定方法などについても取り上げる。



