乱流の円管内の流れと圧力損失の見積もり:CAE解析とExcelを使いながら冷却系設計を自分でやってみる(12)(4/4 ページ)
CAE解析とExcelを使いながら冷却系の設計を“自分でやってみる/できるようになる”ことを目指す連載。連載第12回では、乱流の円管内の流れと圧力損失の見積もりについて取り上げる。
層流でも使えるダルシー・ワイスバッハの式
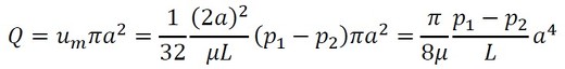
式8は、層流でも使えます。そのときの圧力損失係数は、式9で求めます。
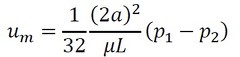
確認してみましょう。式1と式9を式8に代入します。ちなみに、動粘性係数と密度の積は粘性係数μでしたね。
パイプの半径をa、圧力差をΔp=p1−p2とします。
また、流量は平均流速と断面積の積でした。
ご覧の通り、連載第9回で紹介した層流の式であるハーゲン・ポアゾイユの式になりました。
流体が持つ動力
ポンプに必要な動力の計算などでよく使う式をご紹介します。それが式13です。
例えば、図8のような円管の圧力損失によるエネルギーロスは式13を使って、(圧力損失×流量)で計算できます。
図9に示したポンプについても同様で、ポンプに必要な動力は式13を使って、(揚程×流量)で求めることができます。消費電力はというと、ポンプの効率を考慮する必要があるため、式13で得られた動力をポンプ効率で割った値となります。
ターボポンプの効率はせいぜい40[%]です。容積式ポンプは図から自明で理論効率は100[%]となります。
シミュレーションの前に
次はいよいよ乱流のシミュレーションに入りますが、その前に動画1を見ていただきたいと思います。
水道水の流れは乱流で、勢いよく流れ落ちますが、ポビドンヨード液はなかなか流れ落ちてくれません。板の表面近傍の流れは複雑なようです。この点に注目しながら、セル生成の注意点などを説明します。 (次回へ続く)
参考文献:
- [1]日本機械学会|機械工学便覧 A5 流体工学(1992)
Profile
高橋 良一(たかはし りょういち)
RTデザインラボ 代表
1961年生まれ。技術士(機械部門)、計算力学技術者 上級アナリスト、米MIT Francis Bitter Magnet Laboratory 元研究員。
構造・熱流体系のCAE専門家と機械設計者の両面を持つエンジニア。約40年間、大手電機メーカーにて医用画像診断装置(MRI装置)の電磁振動・騒音の解析、測定、低減設計、二次電池製造ラインの静音化、液晶パネル製造装置の設計、CTスキャナー用X線発生管の設計、超音波溶接機の振動解析と疲労寿命予測、超電導磁石の電磁振動に対する疲労強度評価、メカトロニクス機器の数値シミュレーションの実用化などに従事。現在RTデザインラボにて、受託CAE解析、設計者解析の導入コンサルティングを手掛けている。⇒ RTデザインラボ
Copyright © ITmedia, Inc. All Rights Reserved.
関連記事
CAEによる流体解析の手順を確認/実行し、紙と鉛筆による結果と比べる
CAE解析とExcelを使いながら冷却系の設計を“自分でやってみる/できるようになる”ことを目指す連載。連載第10回では、CAEによる流体解析の手順を確認した後、実行結果と“紙と鉛筆”による結果とを比較する。
ニュートン流体とパイプ内の層流
CAE解析とExcelを使いながら冷却系の設計を“自分でやってみる/できるようになる”ことを目指す連載。連載第9回は、ニュートン流体とパイプ内の層流をテーマに取り上げる。
CAEソフトに仕掛けられたトラップ
金属疲労を起こした際にかかる対策コストは膨大なものになる。連載「CAEを正しく使い疲労強度計算と有機的につなげる」では、CAEを正しく使いこなし、その解析結果から疲労破壊の有無を予測するアプローチを解説する。第1回のテーマは「CAEソフトに仕掛けられたトラップ」だ。
連載「CAEを正しく使い疲労強度計算と有機的につなげる」の内容と有限要素法
金属疲労を起こした際にかかる対策コストは膨大なものになる。連載「CAEを正しく使い疲労強度計算と有機的につなげる」では、CAEを正しく使いこなし、その解析結果から疲労破壊の有無を予測するアプローチを解説する。連載第2回では本連載の「あらすじ」と「有限要素法」について取り上げる。
解析専任者に連絡する前に、設計者がやるべきこと
連載「CAEと計測技術を使った振動・騒音対策」では、“解析専任者に連絡する前に、設計者がやるべきこと”を主眼に、CAEと計測技術を用いた機械の振動対策と騒音対策の考え方や、その手順について詳しく解説する。連載第1回では、本連載の趣旨、振動対策や騒音対策が必要となる場面などについて取り上げる。
設計者なら一度はやってみたい形状最適化、お金をかけずにどこまでできる?
原理原則を押さえていれば、高額なソフトウェアを用意せずとも「パラメトリック最適化」「トポロジー最適化」「領域最適化」といった“形状最適化”手法を試すことができる! 本連載ではフリーのFEM(有限要素法)ソフトウェア「LISA」と「Excel」のマクロプログラムを用いた形状最適化にチャレンジする。



