連載
円管内の熱伝達を解析する:CAE解析とExcelを使いながら冷却系設計を自分でやってみる(14)(1/4 ページ)
CAE解析とExcelを使いながら冷却系の設計を“自分でやってみる/できるようになる”ことを目指す連載。連載第14回からはいよいよ「熱流体解析」に突入し、円管層流熱伝、円管乱流熱伝達と進んでいく。
いよいよ「熱流体解析」のスタートです。内容は、円管層流熱伝達、円管乱流熱伝達、外部流れの自然対流熱伝達、外部流れの強制対流熱伝達と進んでいきます。
円柱座標系の熱伝導と熱伝達
ここでの最終目標は、図1に示したホローコンダクターを使ったコイルの設計計算Excelシートを作成することです。
流体解析の話が続いたので、ここで一度、熱の話を思い出しておきましょう。図2に解析モデルを示します。固体側については、いずれも円筒座標系を用い、z軸方向に物理量が一様であると仮定した2次元問題とします。外部流れの流体側は、円筒座標系ではなく直交座標系となります。
外部流れの固体内部の温度分布は、連載第5回の式9により、次のように表されます。
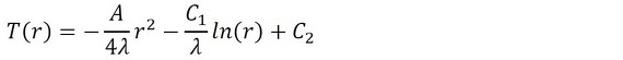
外部流れの場合は、式3で表されます。これは、連載第5回の式13です。
円管外壁の温度Twと、主流の温度T∞の差は、式4で求めることができます。
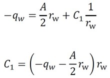
次に、内部流れにおける積分定数を求めましょう。円管内壁の熱流束を−qwとし、これを式2に代入します(式5)。
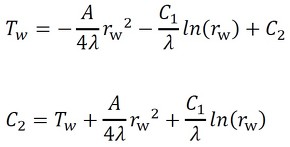
また、円管内壁の温度をTwとし、これを式1に代入します(式6)。
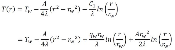
その結果、円管外部のコンダクター側の温度分布は式7となります。
Copyright © ITmedia, Inc. All Rights Reserved.







