共振はなぜ起きる? ばね−マス系と伝達関数で考える:冴えない機械の救いかた(2)(2/4 ページ)
本連載「冴えない機械の救いかた」では、メカ設計の失敗事例を題材に、CAE解析や計測技術を用いて、不具合の発生メカニズムとその対策を解説していく。第2回は、振動トラブルの背景にある「共振」に焦点を当て、ばね−マス系モデルと伝達関数を用いてその本質を整理する。
ダンパーについて
ばねは、引っ張られたり圧縮されたりすると、その変形量に比例する復元力が発生します。
問題はダンパーです。ダンパーは、伸びたり縮められたりしたときに、「変形方向と反対向きの力が発生し、その大きさは変形速度に比例するもの」として考えます。
……と簡単に定義したくなるのですが、世の中の減衰要素(ダンパー類)は、そんな簡単な説明だけでは済まされません。図5にダンパーの記号を示します。
図5の中央に注目します。ダンパーの一方は固定されており、もう一方は引き延ばされようとしています。ダンパーは、引き延ばされようとする方向と反対向きの力を発生し、その大きさfは速度に比例します。式は図中に記しました。
ダンパーの解釈として、図5の右側のようなものを描いてみました。ダンパーの中には粘度の高いオイルが入っており、一方はピストンになっています。ピストンを動かすと、オイルは隙間を通って移動します。このときのオイルの流れる抵抗が、ダンパーの発生する力となります。
世の中のダンパー(減衰要素)はそんな簡単なものではない
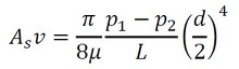
ここでは「ダンパーの力の大きさは、その変形速度に比例する」と書きました。その例を図6に示します。隙間の代わりに、ピストンに小さな穴(穴の断面積Ah、長さL)があるとしましょう。
1[s]間にピストンがx[m]下降したとします。1[s]間の移動量ですから、ピストンの速度をv[m/s]とすると、x=vです。小さな穴を流れる流量は、式1で表されます。
ひとまず、ピストン軸の断面積は無視します。
ここで、前回シリーズ「CAE解析とExcelを使いながら冷却系設計を自分でやってみる」の連載第9回で紹介した「ハーゲン・ポアズイユ(Hagen-Poiseuille)」の式を持ってきます(式2)。
式1と式2を等しいとし、a=d/2を代入します(式3)。
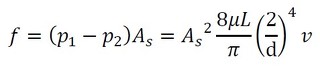
ダンパーの反力f(t)は、ピストンの上側と下側の圧力差にピストンの面積を掛けたものとなるので、式4のように、ダンパーの反力はピストンの速度に比例することになります。
ただし、これはピストンの小さな穴の中の流れが層流の場合です。乱流の場合には、上記シリーズの連載第12回で紹介した「ダルシー・ワイスバッハ(Darcy-Weisbach)」の式を用います(式5)。
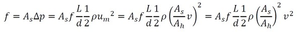
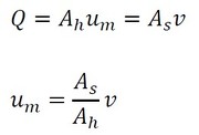
平均流速umを用いると、小さな穴を流れる流量Qは式6で表されます。
式1と式6を等しいとすると、式7が成立します。
式7と式4を用いると、ピストンの反力は式8で表されます。
今度は、ダンパーの反力はピストン速度の二乗に比例します。
これまでは、ピストンとシリンダーの間に摩擦が発生していないものとしていました。ここで、Ffなるクーロン摩擦が発生しているとしましょう。また、内部流体がオイルではなく空気であるとします。
空気の密度ρはオイルの約1000分の1です。そのため、式8で表される圧力損失による力を無視すると、ダンパーの反力は式9で表されます。
今度のダンパー反力は、ピストン速度に関係なく一定値となりました。以上のように、ダンパーが発生する力は、ダンパー片側端の速度の0乗にも1乗にも2乗にもなり得ることが分かりました。
このように、減衰力を数式で表現するのは簡単ではありません。ばね−マス系に限らず、ダンパーによる減衰力は扱いが難しいのです――ということを言いたくて、少し寄り道をしました。
話を簡単にするため、ダンパーが発生する力はその変形速度に比例するとして、話を進めましょう。
角振動数 ω「オメガ」
振動の周波数は、アルファベットの「f」を用いて、f=100[Hz]のように表します。振動を議論するときは、周波数fと同じくらいの頻度で角振動数ωも用います。ωはギリシャ文字で、「オメガ」と読みます。角振動数の単位は[rad/s]です。
周波数fと角振動数ωの関係は、式10で表されます。
振動を表現するときは、式11で表します。何でもかんでもsin関数かcos関数で記述します。
少し余談ですが、さまざまな振幅や周波数のsinとcosの和を用いれば、任意の形の周期関数を作ることができます。いわゆるフーリエ級数です。
場合によっては、sinがcosになることもあります。量子力学では、プランク定数hを2πで割ったものをℏ(hハット)と表記します。いちいち2πを書く必要がなくなります。ωもそんな位置付けでしょうか。
Copyright © ITmedia, Inc. All Rights Reserved.




