共振はなぜ起きる? ばね−マス系と伝達関数で考える:冴えない機械の救いかた(2)(3/4 ページ)
本連載「冴えない機械の救いかた」では、メカ設計の失敗事例を題材に、CAE解析や計測技術を用いて、不具合の発生メカニズムとその対策を解説していく。第2回は、振動トラブルの背景にある「共振」に焦点を当て、ばね−マス系モデルと伝達関数を用いてその本質を整理する。
ばね−マス系:本論
図7に、質量mがxだけ変位した状態を示します。ばねはxだけ伸ばされているので、kxの大きさの力で質量mを引っ張ります。これは復元力です。
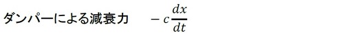
ダンパーは、質量mの速度に比例する力、すなわちc倍の力で質量mを引っ張ります。これは減衰力となります。
質量mに作用する力を整理しましょう。以下の3つです。
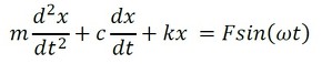
運動方程式は、f(作用している力)=mα(慣性項)でしたね。式15で表されます。ここでは、mαを左辺に、fを右辺に置きました。
これを移項します(式16)。
減衰力を速度に比例する量としたので、比例粘性減衰といいます。こうすると、微分方程式は比較的簡単に解けます。
しかし、前述したように、われわれが日常遭遇している減衰力には、速度に比例する量以外にもいろいろあります。比例粘性減衰は、ばね−マス系を分かりやすく説明するための便利な減衰にすぎません。現実には、それとは程遠い現象に向き合っている場合があることを意識しておいてください。
微分方程式を解きましょう。ここでは3つの方法を紹介します。
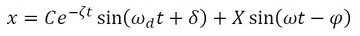
1つ目は、数学の本(参考文献[1])を参照する方法です。式16の右辺をゼロとした斉次方程式の一般解と、式16の特殊解の和が解になります。式17で表されます。
式17の第1項は斉次方程式の一般解で、場合分けすると3通りの形がありますが、ここではそのうちの1つを示しています。式17第1項にはe-ζtが掛かっているので、時間の経過とともに小さくなります。
式17第2項は式16の特殊解で、角振動数ωは外力の振動数です。
2つ目の方法を詳しく説明します。OpenModelica(参考文献[2])を使って、式16を数値的に解いてみました。図8に示します。
横軸は時間軸です。最初のうちは波形が乱れていますが、後半はsinカーブになっています。
sinカーブの振幅と周波数を取り出す前に、初心者の方向けに振幅と周波数をおさらいします。図9に示したsinカーブにおいて、振幅は図示した大きさです。
振動問題の場合は、変位振幅、速度振幅、加速度振幅があります。騒音問題の場合は、音圧振幅が定義されます。
周波数については、図9で1[s]間に山が5つあるので5[Hz]です。あるいは、1波長の周期をグラフから読み取ると約0.2[s]なので、その逆数を取れば5[Hz]となります。
図8に戻ります。グラフの後半はsinカーブになっていて、振幅は約1.1[m]、周波数は5[Hz]です。
振幅1.1[m]、周波数5[Hz]のsinカーブを描くと、図9のようになります。図9は作ったsinカーブです。
次に、図8に示した式16の数値解から、この作ったsinカーブを引き算すると、図10のようになります。この差分は、ばね−マス系が自由振動する解であり、時間とともに減衰していきます。
図10は引き算の形になっているので、これを移項します。図11となります。
式16の微分方程式の解は、先ほどの差分と作ったsinカーブの和です。引き算した結果は自由振動の解であり、ばね−マス系が持つ固有振動数で減衰しながら振動する成分です。これが式17の第1項で、式16の右辺をゼロとした斉次方程式の一般解に相当します。
作ったsinカーブは、外力による強制振動の解です。これは式17の第2項となり、式16の特殊解に相当します。
自由振動の解は時間の経過とともに減衰するので、ここでは無視して、強制振動の解だけに注目します。
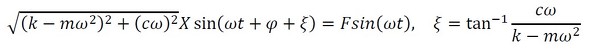
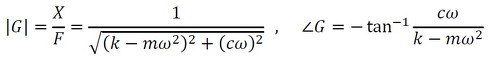
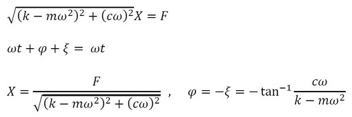
強制振動の解はsinカーブなので、質点の物体の変位は式18で表されると考えます。
Xが振幅、φはマイナス値となるので位相遅れとなります。振動問題での関心事は振幅Xです。振幅Xを求めましょう。
式18を式16に代入します。sinの微分はcos、cosの微分は−sinであることを思い出してください。
sinとcosの和なので、式20を用いると、式19は式21となります。
式21のsinの係数と括弧内がそれぞれ等しいとすると、式22が得られます。
伝達関数Gは「変位/力」で表されます。「複素数で表示する」方法と、「振幅と位相角で表示する」方法があります。ここでは後者で検討を進めます。
伝達関数の振幅と位相角は、式23で表されます。
伝達関数が求まりました。
Copyright © ITmedia, Inc. All Rights Reserved.





