時々刻々と変化する温度分布:CAE解析とExcelを使いながら冷却系設計を自分でやってみる(8)(4/6 ページ)
CAE解析とExcelを使いながら冷却系の設計を“自分でやってみる/できるようになる”ことを目指す連載。連載第8回は、非定常熱伝導問題に取り組む。
CAE解析との比較(1)
では、CAE解析を行いましょう。表1に材料定数を、図6にCAE解析の境界条件を示します。
| 密度 ρ | kg/m3 | 7850 |
|---|---|---|
| 熱伝導率 λ | W/m.K | 60.5 |
| 定圧比熱 Cp | J/kg.K | 434 |
| 温度伝導率 a | m2/s | 1.78×10-5 |
| 表1 材料定数 | ||
図7に時刻100[s]での温度分布を示します。
図8に、CAE解析結果と式29による計算結果を示します。一致しましたね。筆者の少し自信のない紙と鉛筆による計算結果をシミュレーションで確認したようなものです。普通はCAE解析結果に対して「桁あってますか検算」(連載「CAEを正しく使い疲労強度計算と有機的につなげる」の第6回)をするために紙と鉛筆による計算結果を使うのですが、今回はこの反対ですね。
このように、温度を境界条件とするものを「ディレクレ(Dirichlet)境界条件」といいます。一方、温度の1階微分、この場合、熱流束を境界条件とするものを「ノイマン(Neumann)境界条件」と呼びます。
図9に示した片持ちはりのたわみ計算では、x=0[m]におけるたわみをゼロとするのがディレクレ境界条件、x=0[m]における傾斜をゼロとするのがノイマン境界条件となります。
熱い棒の両端の熱流束を一定にした場合
今度はノイマン境界条件の例を述べます。図10に示すように、100[degC]に熱せられた棒の両端の熱流束を一定にした問題です。
境界条件をグラフにすると図11のようになります。
フーリエ級数を適用するために、ここでひと工夫を加えます。図11を拡張して図12のようにします。こうすることで、この関数は周期関数として扱うことができ、フーリエ級数によって表現可能になります。なお、ここでは2la=lとなるように長さを操作しています。
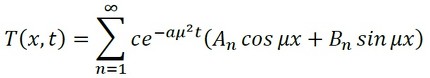
方程式、式5の解は次式でした(式30)。
フーリエの法則から熱流束は式31となります。
線形微分方程式に複数の解があったとしたら、それらの和も解となるため、次式が成立します(式32)。
t=0[s]の熱流束は式33となります。
図12は周期2lの周期関数なので、次のフーリエ級数で表すことができます。a0=0です。
式16と式33はそっくりです。以下の対応関係を作りましょう。
式34を使うと、以下の対応関係があることになります。
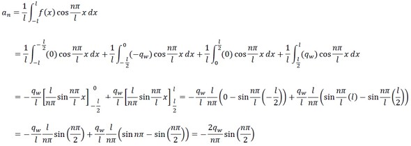
式16のanとbnを求めれば、答えが得られそうです。早速フーリエ級数を計算しましょう。まずは式17です。
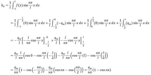
次は式18です。
式33に式36と式37を代入します。
式38を計算しましょう。図13に示します。qw=200000[W/m2]とし、n=50までの和です。x=0[m]のところの熱流束を100000[W/m2]とするために、式38ではqw=200000[W/m2]としています。また、図12において長さを操作していました。
時々刻々と変化する熱流束分布は次式となります(式39)。
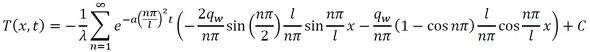
温度分布を求めましょう。フーリエの法則から、熱流束をxで積分すれば求まります。
初期温度T(x,0)が100[degC]となるように積分定数を決めると、積分定数は以下となりました(式41)。
Copyright © ITmedia, Inc. All Rights Reserved.

![時刻100[s]での温度分布](https://image.itmedia.co.jp/mn/articles/2505/26/ay4328_coolingdesign08_fig07_w590.jpg)




![t=0[s]の熱流束分布](https://image.itmedia.co.jp/mn/articles/2505/26/ay4328_coolingdesign08_fig12_w590.jpg)



