時々刻々と変化する温度分布:CAE解析とExcelを使いながら冷却系設計を自分でやってみる(8)(3/6 ページ)
CAE解析とExcelを使いながら冷却系の設計を“自分でやってみる/できるようになる”ことを目指す連載。連載第8回は、非定常熱伝導問題に取り組む。
フーリエ級数を使おう
この手の微分方程式は、フーリエ級数を使って解くことができます。そこで、フーリエ級数が使えるように少し工夫をしましょう。図3を拡張し、図4のように設定します。
よく「x=0の温度はどうなるのか」と聞かれるのですが、この関数をフーリエ級数で表すと必ず原点を通ります。つまり、x=0における温度は0[degC]となります。これからはフーリエ級数によるグラフで説明します。
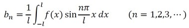
周期2lのフーリエ級数は以下でした(参考文献[1])。
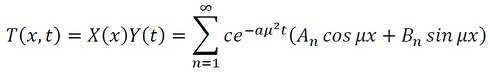
式9と式10の解は次式でした(式19、式20)。
これを式6に代入したものが解です(式21)。
線形微分方程式に複数の解があったとしたら、それらの和も解となるので次式が成立します(式22)。
t=0[s]のときの温度分布は次式となります(式23)。
式23は、フーリエ級数の式(式16)とそっくりです。ということは、図4の関数をフーリエ級数で表現すれば、それが初期条件(t=0[s])を満たす解となります。
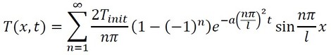
図4の関数は奇関数であるため、式16におけるanは0です。また、図4の関数は上下対称であることから、a0=0ですね。これは式23にも同じことがいえます。sin μxに対応するのは、sin nπ/l x(※2)なので、μ=nπ/l(※3)となります。
t=0[s]のときの温度分布は次式となります(式25)。
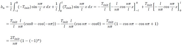
では、早速式18を計算しましょう。
式26の(−1)nは符号を反転させるために使っています。式16と式25を見ると次式が成立します(式27)。
式27を式25に代入します(式28)。
式28を計算しましょう。図5に示します。Tinit=0[degC]とし、n=50までの和です。サイン関数の和なので必ず原点を通ります。
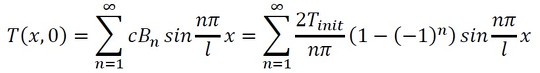
式24に式27を代入すると、時々刻々と変化する温度分布が求まります(式29)。
Copyright © ITmedia, Inc. All Rights Reserved.
![t=0[s]の温度分布](https://image.itmedia.co.jp/mn/articles/2505/26/ay4328_coolingdesign08_fig04_w590.jpg)

