時々刻々と変化する温度分布:CAE解析とExcelを使いながら冷却系設計を自分でやってみる(8)(2/6 ページ)
CAE解析とExcelを使いながら冷却系の設計を“自分でやってみる/できるようになる”ことを目指す連載。連載第8回は、非定常熱伝導問題に取り組む。
2階微分方程式を解こう
これから微分方程式を解いていくわけですが、あいにく答えが載っている文献は持ち合わせていません。学生時代の物理の講義で、ギターの弦の振動を解くというものがありました。今回は、そのときの記憶と手元にある数学の本(参考文献[1])を頼りにして進めていきましょう。
常とう手段として変数分離を使ってみましょう。温度を位置の関数と時間の関数の積として表すという考え方です。具体的には次のような式になります(式6)。
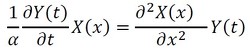
位置の関数と時間の関数の積以外にも、方程式の解が存在するのではないかという疑問が湧きますが、水素原子における電子の波動方程式も同様の方法で解かれているため、このまま進めましょう。式6を式5に代入します。鉄の棒は発熱しないため、式5におけるAは0[W/m3]となります。
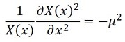
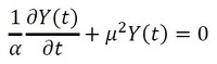
両辺をX(x)Y(t)で割り算します(式8)。
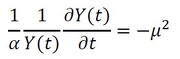
式8の左辺は時間だけの関数であり、右辺は座標だけの関数であるため、両者が常に等しいことになります。両辺はある定数であるはずです。それを−μ2とすると、以下の2つの式(式9、式10)が出来上がります。
式9から攻めていきましょう。式9を変形します。
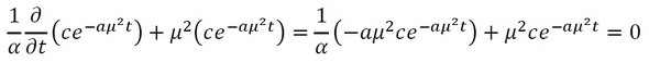
1階微分しても同じ形になる関数といえば、y=exでしたよね。そこで、関数の解としてY(t)=ce-aμ2t(※1)を基に話を進めましょう。
まず、これが方程式である式11を満たすかどうかを確認してみましょう。式11に代入します。
おおっ、確かに満たしていますね。式9の解は次式になります(式13)。
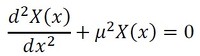
続いて、式10に取り掛かります。式10を変形します(式14)。
2階微分しても同じ形になる関数といえば、y=sin xとy=cos xでした。線形微分方程式では複数の解が存在する場合、それらの和も解となるため、関数の解としてそれら線形和であるX=A cos μx+B sin μxとして話を進めます。まず、これが方程式である式14を満たすかどうかを確認してみましょう。式14に代入します。
今度も満足しました。y=exを2階微分して同じ形になる関数なのではと思われますが、これを使うと境界条件を満足しません。積分定数がゼロだったと考えましょう。
t=0[s]の温度分布をグラフにしましょう(図3)。
Copyright © ITmedia, Inc. All Rights Reserved.

![t=0[s]の温度分布](https://image.itmedia.co.jp/mn/articles/2505/26/ay4328_coolingdesign08_fig03_w590.jpg)