現象のモデリングの勘所 〜現象の式のマトリクス表現〜:1Dモデリングの勘所(43)(3/3 ページ)
「1Dモデリング」に関する連載。連載第43回では「現象のモデリングの勘所」をテーマに取り上げる。
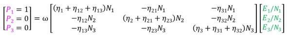
音振動モデル(エネルギー法)のマトリクス表現(参考文献[3])
最後に、エネルギー法による音振動モデルのマトリクス表現を考える。音振動(エネルギー法)も図8に示すように電気、熱、流れと共通表現を有している。
図9に、2つの部屋と部屋間の壁からなる3自由度の音振動問題をエネルギー法で定式化した結果を示す(参考文献[3])。1つの部屋に音源があった際に、もう1つの部屋に音がどう伝わるかという音振動連成問題である。
図9の式をマトリクス表現すると図10となる。
図10に示すように、相反定理によりηijNj=ηjiNiが成り立つことから、この場合もマトリクスの中身は対称行列となる。
以上、フロー図⇒定式化⇒マトリクス表現という手順でマトリクス表現でき、マトリクス表現自体がフロー図と定式化の良いところを併せ持っていることが分かった。だが、定式化を経るプロセスは面倒である。そこで、フロー図からマトリクス表現が直接できないかを、熱を例に考えてみる。
図2の要素1に電流則を適用すると、
が成り立つ。これを変形すると、
となる。同様の手順を要素2、要素3に適用し、3つを統合すれば前述のマトリクス表現が得られる。一見すると、電流則のみで電圧則を使っていないように見えるが、実際にはフロー図からマトリクス表現を構築する際に、頭の中で処理しているのである。
どの手順で問題を解くかは個人の自由であるが、今回示した方法は、要素数が2ないし3で、それでもマトリクス表現の方が分かりやすいように思う。特に、要素が10以上になると、定式化の式の数は膨大となり、式のコーディングに時間がかかり、ミスも増える。
その点、マトリクス表現はある程度機械的に作業を進めることが可能であり、作業時間やミスの発生を抑えることができる。ただし、以上のことは本質的ではなく、大規模なモデルを作成する場合には、「Modelica」で固有のライブラリを自作して、モデルを作り、そのまま解析する方法が考えられる。しかし、これは本連載の範囲を超える内容といえる。
次回は、製品のモデリングの勘所について考える。 (次回へ続く)
筆者プロフィール:
大富浩一(https://1dcae.jp/profile/)
日本機械学会 設計研究会
本研究会では、“ものづくりをもっと良いものへ”を目指して、種々の活動を行っている。1Dモデリングはその活動の一つである。
- 最新著書:1Dモデリングの方法と事例(日本機械学会)
- 研究会HP:https://1dcae.jp/
- 代表者アドレス:ohtomi@1dcae.jp
Copyright © ITmedia, Inc. All Rights Reserved.
関連記事
1Dモデリングの方法にもさまざまなアプローチがある
「1Dモデリング」に関する連載。連載第4回では、本題である1Dモデリングの方法を取り上げる。まず、1Dモデリングの方法には大きく「モデル生成」「低次元化モデリング」「類推モデリング」の3つのアプローチがあることを説明。特に本稿では1Dモデリング固有の考え方としての類推モデリングについて詳しく解説する。
0Dモデリングとは? 理論・経験に基づく理論式・経験則が究極の1Dモデリング!?
「1Dモデリング」に関する連載。連載第3回は、理論・経験に基づく理論式・経験則が究極の1Dモデリングであることを、0Dモデリングの定義、3Dモデリングとの関係、幾つかの事例を通して説明する。また、理論・理論式を考えるに当たって重要な“単位”に関して、なぜ単位が必要なのかその経緯も含めて紹介する。
1Dモデリングとは? モデリングをさまざまな視点から捉えることで考える
「1Dモデリング」に関する連載。連載第2回は、モデリングをその表現方法から2種類の“3つのモデリング”に分けて考える。次に1Dモデリングが必要となる背景について、1DCAEとMBDという2つの製品開発の考え方を紹介し、これらと1Dモデリングの関係を示す。さらに、リバース1DCAEと1DCAEを通して、より具体的に1Dモデリングのイメージを明らかにする。以上を通して、最後に“1Dモデリングとは”について考察する。
モデリングとは何か? 設計プロセスと製品設計を通して考える
「1Dモデリング」に関する連載。連載第1回は、いきなり1Dモデリングの話に入るのではなく、そもそもモデリングとは何なのか? について考えることから始めたい。ものづくり(設計)のプロセス、製品そのものを構成する要因を分析することにより、モデリングとは何かを明らかにしていく。
なぜ今デライトデザインなのか? ものづくりの歴史も振り返りながら考える
「デライトデザイン」について解説する連載。第1回では「なぜ今デライトデザインなのか?」について、ものづくりの変遷を通して考え、これに関する問題提起と、その解決策として“価値づくり”なるものを提案する。この価値を生み出す考え方、手法こそがデライトデザインなのである。
デライトデザインとは? 3つのデザイン、類似の考え方を通して読み解く
「デライトデザイン」について解説する連載。第2回では、デライトデザインとは? について考える。まず、設計とデザインの違いについて触れ、ユーザーが製品に期待する3つの品質に基づくデザインの関係性にも言及する。さらにデライトデザインを実行する際に参考となる考え方や手法を紹介するとともに、DfXについて説明し、デライトデザインの実践に欠かせない要件を明確にする。



