現象のモデリングの勘所 〜現象の式のマトリクス表現〜:1Dモデリングの勘所(43)(2/3 ページ)
「1Dモデリング」に関する連載。連載第43回では「現象のモデリングの勘所」をテーマに取り上げる。
振動のMCKモデル
図3に、振動の2自由度の「MCKモデル」を示す。
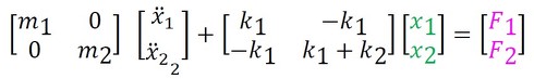
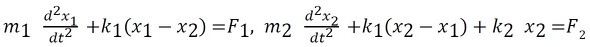
このとき、質点1の運動方程式と質点2の運動方程式は、
となる。これをマトリクス表現すると、
となる。ピンク色の文字が入力で、緑色の文字が出力である。このように、現象のマトリクス表現は現象を理解するのが容易である。また、マトリクスの内部は対称行列になっている。
熱のモデルのマトリクス表現
続けて、熱の式も振動モデルと同様にマトリクス表現を試みる。ただし、熱の式は振動とは異なり非線形であるため、一工夫する必要がある。すなわち、ヒーターと筐体内部間のふく射による熱コンダクタンスを、
と置いてマトリクス表現すると、図5となる。
ご覧の通り、ジュール熱のヒーターへの入力(ピンク色の文字)が起点となって、各部の温度T1、T2、T3(緑色の文字)が求まっていることが一目瞭然である。図5は3つの式からなり、当然これを解いても解は得られる。また、この場合のマトリクスの内部も対称行列となっている。
流れのモデルのマトリクス表現(参考文献[2])
次に、図6に示すポンプ配管系の流れのマトリクス表現を試みる。
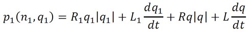
これは抵抗要素、慣性要素、ポンプ要素からなる流路網モデルとなる。各ポンプの特性をp1(n1,q1)、p2(n2,q2)とする。このとき、n1、n2は各ポンプの回転数、q1、q2は流量である。主配管を流れる流量をqとすると、分岐点における流量の連続条件(電流則)から、
が成り立つ。
閉回路における圧力の閉合条件(電圧則)は、閉回路の取り方によりいくつか考えられる(当然のことながらどれをとっても結果は同じである)が、ここでは、ポンプ1+主配管、ポンプ2+主配管を取ることにする。
すると、次の2式が求まる。
以上を基にマトリクス表現すると図7となる。この式も非線形であるため、流量の絶対値表現の部分をその他と分離している。
この場合もポンプが入力で、その結果として流量が発生(出力)していることが分かる。また、マトリクスの内部は対称行列になっている。
Copyright © ITmedia, Inc. All Rights Reserved.

