要素のモデリングの勘所 〜要素は一種のエネルギー変換器〜:1Dモデリングの勘所(42)(3/3 ページ)
「1Dモデリング」に関する連載。連載第42回では「要素はエネルギー変換器」であるという視点に立って、要素のモデリングを系統的に行う方法(勘所)について考える。
以上の知見を基に、モーターのモデリングを行う。モーターにはさまざまな種類があるが、ここでは原理の分かりやすさから直流モーターについて説明を行う。図7に直流モーターの原理を示す。
各辺aおよびbのコイルが磁束密度Bの静磁場下にある。コイルには外部電源から電気が供給され、図に示す方向に電流iが流れている。このとき、既に述べた通り、コイルA-Bには紙面のこちら側に向かってF=bBiなる力が働く。コイルA-B部分は回転半径a/2で回るので、発生するトルクはT=(a/2)bBiとなる。同様に、コイルC-D部分にも向きが逆で(電流の方向が逆なので)値が同じトルクT=(a/2)bBiが発生する。すなわち、合計して、
なるトルクが発生する。Ktはトルク定数といわれるもので磁束密度、コイルの形状により決まる。
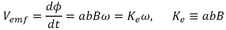
一方、上記の原理でコイルが回転すると、コイルは磁束を横切ることになり、誘導起電力が発生する。誘導起電力は電源電圧の方向とは逆方向となるため、逆起電力ともいう。誘導起電力は磁束φ、すなわち磁場の面積分は図7より、
であるから、誘導起電力Vemfはコイルの回転速度をωとすると、
となる。Keは起電力係数といわれるもので、トルク定数と等しいことが分かる。なお、emfは“ElectroMotive Force(起電力)”の略である。上記の式展開では、連載第4回の図3の磁束と電圧の関係式dφ/dt=Vを用いたが、誘導起電力の式では、l=b,v=(a/2)ωとなり、これは片側の電線によるものなので、2倍してabBωと同じ結果を得る。
一方、図7でコイルが半回転すると磁場の方向と電流の向きの関係が変わってしまい、そこで逆回転してしまう。こうならないようにスリップリング(整流子)が設けられており、半回転ごとに電流の流れる方向を変えて、常に図に示すように一方向に流れるようにしている。
以上がモーターに関する説明だが、発電機は図4に示したように機械エネルギーを電気エネルギーに変換するもので、モーターとエネルギー変換の方向が逆なだけであるため、モーターと同じ変換式となる。これは図7のモーターで負荷に相当するところに同じ方向に外部からトルクを与える(機械エネルギー)と、図7とは逆方向に電流が流れ、発電する(電気エネルギー)ことを意味する。すなわち、理屈上は図7で入出力を入れ替えることにより、モーターにも発電機にもなる。
次回は、現象のモデリングの勘所について考える。 (次回へ続く)
筆者プロフィール:
大富浩一(https://1dcae.jp/profile/)
日本機械学会 設計研究会
本研究会では、“ものづくりをもっと良いものへ”を目指して、種々の活動を行っている。1Dモデリングはその活動の一つである。
- 最新著書:1Dモデリングの方法と事例(日本機械学会)
- 研究会HP:https://1dcae.jp/
- 代表者アドレス:ohtomi@1dcae.jp
Copyright © ITmedia, Inc. All Rights Reserved.
関連記事
1Dモデリングの方法にもさまざまなアプローチがある
「1Dモデリング」に関する連載。連載第4回では、本題である1Dモデリングの方法を取り上げる。まず、1Dモデリングの方法には大きく「モデル生成」「低次元化モデリング」「類推モデリング」の3つのアプローチがあることを説明。特に本稿では1Dモデリング固有の考え方としての類推モデリングについて詳しく解説する。
0Dモデリングとは? 理論・経験に基づく理論式・経験則が究極の1Dモデリング!?
「1Dモデリング」に関する連載。連載第3回は、理論・経験に基づく理論式・経験則が究極の1Dモデリングであることを、0Dモデリングの定義、3Dモデリングとの関係、幾つかの事例を通して説明する。また、理論・理論式を考えるに当たって重要な“単位”に関して、なぜ単位が必要なのかその経緯も含めて紹介する。
1Dモデリングとは? モデリングをさまざまな視点から捉えることで考える
「1Dモデリング」に関する連載。連載第2回は、モデリングをその表現方法から2種類の“3つのモデリング”に分けて考える。次に1Dモデリングが必要となる背景について、1DCAEとMBDという2つの製品開発の考え方を紹介し、これらと1Dモデリングの関係を示す。さらに、リバース1DCAEと1DCAEを通して、より具体的に1Dモデリングのイメージを明らかにする。以上を通して、最後に“1Dモデリングとは”について考察する。
モデリングとは何か? 設計プロセスと製品設計を通して考える
「1Dモデリング」に関する連載。連載第1回は、いきなり1Dモデリングの話に入るのではなく、そもそもモデリングとは何なのか? について考えることから始めたい。ものづくり(設計)のプロセス、製品そのものを構成する要因を分析することにより、モデリングとは何かを明らかにしていく。
なぜ今デライトデザインなのか? ものづくりの歴史も振り返りながら考える
「デライトデザイン」について解説する連載。第1回では「なぜ今デライトデザインなのか?」について、ものづくりの変遷を通して考え、これに関する問題提起と、その解決策として“価値づくり”なるものを提案する。この価値を生み出す考え方、手法こそがデライトデザインなのである。
デライトデザインとは? 3つのデザイン、類似の考え方を通して読み解く
「デライトデザイン」について解説する連載。第2回では、デライトデザインとは? について考える。まず、設計とデザインの違いについて触れ、ユーザーが製品に期待する3つの品質に基づくデザインの関係性にも言及する。さらにデライトデザインを実行する際に参考となる考え方や手法を紹介するとともに、DfXについて説明し、デライトデザインの実践に欠かせない要件を明確にする。

