ラグランジュの方程式(その2)〜ラグランジュの方程式の導出手順と適用例〜:1Dモデリングの勘所(40)(4/5 ページ)
「1Dモデリング」に関する連載。連載第40回では「ラグランジュの方程式(その2)」と題し、ラグランジュの方程式の導出手順とその結果を具体事例に適用して効果を確認する。さらに、ラグランジュの方程式を粘性減衰がある場合に拡張し、実際の問題に適用してみる。
減衰がある場合のラグランジュの方程式の導出
摩擦がある振動系にラグランジュの方程式が適用できないことは、その理由も含めて既に述べた通りであるが、粘性減衰力が作用する系については以下のようにしてラグランジュの方程式を導くことができる。ばね力や慣性力が位置エネルギーや運動エネルギーから得られたのと同様に、減衰力にも適用できる“ある関数”を導入することにする。
図3に示す振動系において、質点に作用するばね力と減衰力は、
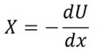
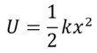
となる。ばね力Xは位置エネルギー、すなわちばねの弾性エネルギー
より、
を用いて導くことができる。
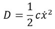
同様の考え方で、レーリーは、
なる関数Dを導入し、
によって、粘性減衰力が求められることを明らかにした。ここで、Dを「散逸関数」と呼ぶ。散逸関数は粘性減衰力によって消費される単位時間当たりのエネルギーの2分の1に相当する(ここではその理由の説明は省略する)。すなわち、散逸関数の単位はエネルギーではなくパワーである。式40を一般の質点系に拡張すると、
となり、これから粘性減衰力は、
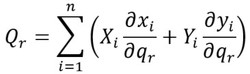
となる。一般粘性減衰力は、
より求めることができ、既出の
を用いると、
となる。ここで、式15でQorからQrを分離して、
と置くと、ラグランジュの方程式は、
あるいは、
となる。
以上を、図3に示した簡単な1自由度系で試してみる。ここで、ラグランジュの方程式は、
となる。このとき、
となり、これを上式に代入して偏微分すると、
を得る。
Copyright © ITmedia, Inc. All Rights Reserved.
