検索
連載

撹拌動力計算とスケールアップ指標はじめての化学工学(9)(1/3 ページ)

前回は、撹拌の概念や装置について解説しました。今回は、撹拌槽の設計や運転条件を決める上で欠かせない撹拌動力計算と無次元指標、スケールアップの考え方について解説します。

Share
Tweet
LINE
Hatena

撹拌動力と投入エネルギー

 化学プラントでは、混合不良が反応収率低下や副反応進行につながります。撹拌動力は安定した品質を作るために必要なエネルギーです。しかし過剰に投入すれば電力コスト増、少なすぎれば品質不良となります。適切な見積もりが操業の経済性と安全性を決めます。

 撹拌槽では、撹拌翼の回転数とトルクから消費動力が決まります。さらに単位体積当たりの動力として表現します。

図1 動力の計算式。P:動力[kW]、n:回転数[1/s]、T:トルク[N・m]
図1 動力の計算式。P:動力[kW]、n:回転数[1/s]、T:トルク[N・m][クリックで拡大]

 トルクが関係するため、式の裏では撹拌翼径や流体密度も影響しています。撹拌で消費する動力は動力数Npという無次元数の形で表現します。これは撹拌装置固有の値として、主に撹拌翼の種類や装置形状、液量で決まります。

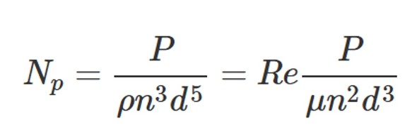
図2 動力数の計算式。Np:動力数[-]、P:動力[W]、ρ:密度[kg/m<sup>3</sup>]、n:回転数[1/s]、d:翼径[m]、μ:粘度[Pa・s]、Re:撹拌レイノルズ数[-]
図2 動力数の計算式。Np:動力数[-]、P:動力[W]、ρ:密度[kg/m3]、n:回転数[1/s]、d:翼径[m]、μ:粘度[Pa・s]、Re:撹拌レイノルズ数[-][クリックで拡大]

 撹拌計算は数多くのパラメータを用います。撹拌装置の図を参考に、各パラメータが何を意味するのかを紹介しておきます。np:羽根枚数[-]は1つの撹拌翼についた羽根の枚数を、N:翼段数[-]はシャフトに取りつけられた撹拌翼の個数を表します。

図3 計算に用いるパラメータの対応する位置。H:液深さ[m]、D:槽径[m]、b:翼幅[m]、d:翼径[m]、θ:羽根取り付け角度[deg]、np:羽根枚数[-]、B:邪魔板厚さ[m]、N:翼段数[-]
図3 計算に用いるパラメータの対応する位置。H:液深さ[m]、D:槽径[m]、b:翼幅[m]、d:翼径[m]、θ:羽根取り付け角度[deg]、np:羽根枚数[-]、B:邪魔板厚さ[m]、N:翼段数[-][クリックで拡大]

 図2の「動力数の計算式」にあるように、動力数はレイノルズ数と組み合わせて用いられます。Np-Re曲線を描くことで流れに応じた動力数の特徴が分かります。主に層流域ではNpとReが反比例し、乱流域ではNpがほぼ一定になります。

Copyright © ITmedia, Inc. All Rights Reserved.

       | 次のページへ
ページトップに戻る