連載
ヒートシンクを設計しよう!:CAE解析とExcelを使いながら冷却系設計を自分でやってみる(3)(2/4 ページ)
CAE解析とExcelを使いながら冷却系の設計を“自分でやってみる/できるようになる”ことを目指す連載。連載第3回では、「熱伝達」についておさらいし、ヒートシンクの設計に着手する。
熱伝導と熱伝達を考慮した温度の見積もり
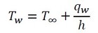
前回の内容と組み合わせると図3の全ての位置の温度が求まります。計算のベースは主流の温度T∞です。伝熱界面温度は式1から次式となります(式2)。
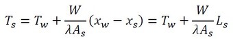
固体の温度は前回の式15を使います。式3として再掲します。
固体左側端面、つまりx=xsのときの温度がTsであり、xw−xs=Lsとしましょう。Tsの温度は次式で表されます(式4)。
次は最高温度を求めましょう。前回の式31を式5として再掲します。
中心面(x=0)のときの温度がTcであり、xs=LHSとしましょう。HSとは“heat source”のことです。モデル内の最高温度Tcは、上式に式2と式4を代入して次式で表されます(式6)。
ヒートシンク設計Excelシートを作ろう
これで全ての位置の温度が計算できるようになりました。ヒートシンク設計Excelシートを作りましょう。図4にヒートシンクの寸法を示します。
今のところ、ヒートシンクのひだひだがあるのでLs寸法が少し曖昧になりますが、ひだひだは考えずにヒートシンクの放熱面積をAwとし、詳細は後回しにしましょう。図5に解析モデルを示します。
表1にExcelシート、図6に温度分布を示します。なかなかいい感じでしょうか。
Copyright © ITmedia, Inc. All Rights Reserved.



